精英家教网 > 初中数学 > 题目详情

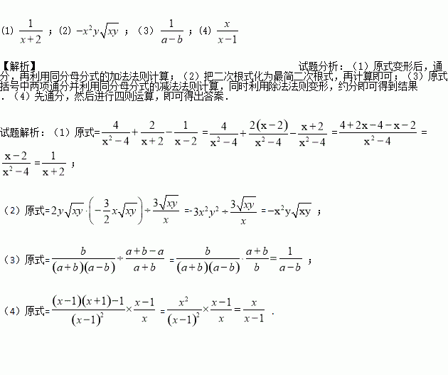
计算.

练习册系列答案
相关习题

科目:初中数学 来源:江苏省2016-2017学年八年级3月月考数学试卷(含答案) 题型:填空题

如图,将边长都为cm的正方形按如图所示摆放,点A1、A2、…、An分别是正方形的中心,则2017个这样的正方形重叠部分的面积和为_________.

查看答案和解析>>

科目:初中数学 来源:江苏省2017届九年级下学期第一次模拟考试数学试卷 题型:单选题

下列运算中正确的是( )

A. a2·a3=a6 B. (-a2)3=-a6 C. (ab)2=ab2 D. a6÷a3=a2

查看答案和解析>>

科目:初中数学 来源:内蒙古鄂尔多斯市东胜区2017届九年级下学期第二次模拟考试数学试卷 题型:单选题

从﹣3,﹣1, ,1,3这五个数中,随机抽取一个数,记为a,若数a使关于x的不等式组无解,且使关于x的分式方程=﹣1有整数解,那么这5个数中所有满足条件的a的值之和是( )

A. B. C. D.

查看答案和解析>>

科目:初中数学 来源:苏科版八年级数学下册 第十单元 分式 综合测试卷 题型:解答题

某县向某贫困山区赠送一批计算机,首批270台将于近期起运.经与某物流公司联系,得知用A型汽车若干辆刚好装完,用B型汽车不仅可少用1辆,而且有一辆车还差30台才刚好装满.

(1)已知每辆A型汽车所装计算机的台数是B型汽车的,求A、B两种型号的汽车各能装计算机多少台?

(2)在(1)中条件下,已知A型汽车的运费是每辆350元,B型汽车的运费是每辆400元,若同时用这两种型号的汽车运送这批计算机,其中B型汽车比A型汽车多用1辆,并且刚好装满运完,按这种方案运输,则A、B两种型号的汽车各需多少辆?总运费为多少元?

查看答案和解析>>

科目:初中数学 来源:苏科版八年级数学下册 第十单元 分式 综合测试卷 题型:填空题

=____________时, 的值互为倒数.

查看答案和解析>>

科目:初中数学 来源:苏科版八年级数学下册 第十单元 分式 综合测试卷 题型:单选题

一水池有甲、乙两根进水管.两管同时开放6小时可以将水池注满水.如果单开甲管5小时后,两管同时开放,还需3小时才能注满水池,那么单独开放甲管注满水池需( )

A. 7.5小时 B. 10小时 C. 12.5小时 D. 15小时

查看答案和解析>>

科目:初中数学 来源:江苏省兴化市心校2017届九年级上学期期中考试数学试卷 题型:解答题

某中学开展某项比赛活动,九年级(1)、(2)班根据初赛成绩,各选出5名选手参加复赛,两个班各选出的5名选手的复赛成绩(满分为 100分)如下图所示:

(1)根据图示填写下表:

(2)结合两班复赛成绩,分析哪个班级的复赛成绩较好;

查看答案和解析>>

科目:初中数学 来源:江苏省连云港市2017年中考模拟(二)数学试卷 题型:单选题

下列图形中,能通过折叠围成一个三棱柱的是( )

A. B. C. D.

查看答案和解析>>

同步练习册答案