精英家教网 > 初中数学 > 题目详情

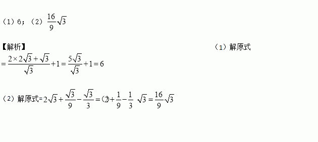
计算下列各式:

(1) (2)

练习册系列答案
相关习题

科目:初中数学 来源:2017届辽宁省九年级4月月考数学试卷(解析版) 题型:填空题

某市常住人口约为5245000人,数字5245000用科学记数法表示为

查看答案和解析>>

科目:初中数学 来源:2016-2017学年浙江省宁波市八年级上学期第三次月考数学试卷(解析版) 题型:解答题

(8分)某市甲、乙两个汽车销售公司,去年一至十月份每月销售同种品牌汽车情况如图所示:

销售公司

平均数

方差

中位数

众数

9

9

17.0

8

(1) 请你根据上图填写下表:

(2)请你从以下两个不同的方面对甲、乙两个汽车销售公司去年一至十月份的销售情况进行分析:

①从平均数和方差结合看;

②从折线图上甲、乙两个汽车销售公司销售数量的趋势看(分析哪个汽车销售公司较有潜力).

查看答案和解析>>

科目:初中数学 来源:2016-2017学年浙江省宁波市八年级上学期第三次月考数学试卷(解析版) 题型:单选题

八年级(1)班50名学生的年龄统计结果如上表所示:则此班学生年龄的众数、中位数分别为( )

A. 14,14 B. 15,14 C. 14,15 D. 15,16

查看答案和解析>>

科目:初中数学 来源:2016-2017学年山东省济南外国语学校八年级上学期期中考试数学试卷(解析版) 题型:解答题

如图长方形,点上且,连接,将三角形沿直线翻折,点恰好落在上的点处,求的长.

查看答案和解析>>

科目:初中数学 来源:2016-2017学年山东省济南外国语学校八年级上学期期中考试数学试卷(解析版) 题型:填空题

在等腰中, ,则边上的高是________

查看答案和解析>>

科目:初中数学 来源:2016-2017学年山东省济南外国语学校八年级上学期期中考试数学试卷(解析版) 题型:单选题

满足下列条件的三角形中,不是直角三角形的是( )

A. 三内角之比为 B. 三边长的平方之比为

C. 三边长之比为 D. 三内角之比为

查看答案和解析>>

科目:初中数学 来源:2017届天津市东丽区九年级上学期期末考试数学试卷(解析版) 题型:填空题

如图所示的二次函数的图象中,观察得出了下面五条信息:

;②;③;④;⑤

你认为其中正确信息的个数有__________________个.

查看答案和解析>>

科目:初中数学 来源:2017届山东省滨州市邹平双语学校一二区九年级上学期期中考试数学试卷(解析版) 题型:单选题

下列事件中,是随机事件的是(  )

A. 通常加热到100℃时,水沸腾 B. 度量三角形的外角和,结果是360°

C. 明天太阳从西边升起 D. 篮球队员在罚球线上投篮一次,未投中

查看答案和解析>>

同步练习册答案