精英家教网 > 初中数学 > 题目详情

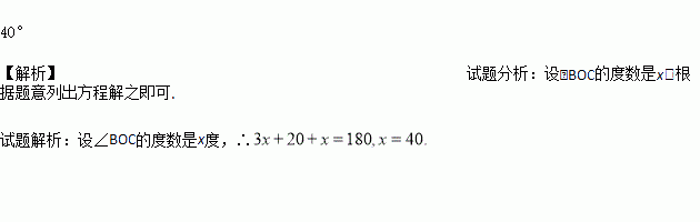
如图,射线OC的端点O在直线AB上,∠AOC的度数比∠BOC的3倍多20°,求∠BOC的度数是多少?

练习册系列答案
相关习题

科目:初中数学 来源:2017届重庆市初三教研片区联考数学试卷(解析版) 题型:填空题

引发春季传染病的某种病毒的直径是米,数据用科学记数法表示为________.

查看答案和解析>>

科目:初中数学 来源:2016-2017学年江苏省七年级下学期第一次月考数学试卷(解析版) 题型:解答题

先化简,再求值: ,其中x=.

查看答案和解析>>

科目:初中数学 来源:2016-2017学年江苏省七年级下学期第一次月考数学试卷(解析版) 题型:选择题

一个多边形的各个内角都等于120°,则它的边数为( )

A.3 B. 6 C. 7 D. 8

查看答案和解析>>

科目:初中数学 来源:2016-2017学年重庆万州中学(下)七年级期中考试数学试卷(解析版) 题型:解答题

今有鸡兔同笼,上有二十六头,下有八十二足,问鸡兔各几何?

(1)根据上面文字求出鸡兔各有多少只?

(2)若设A为鸡兔总共只数,B为鸡兔总共足数,请你运用方程组探索兔数、A、B之间的关系,并将你发现的结论用等式表示出来?

查看答案和解析>>

科目:初中数学 来源:2016-2017学年重庆万州中学(下)七年级期中考试数学试卷(解析版) 题型:填空题

已知是关于x的一元一次方程,则n=__________.

查看答案和解析>>

科目:初中数学 来源:2016-2017学年重庆万州中学(下)七年级期中考试数学试卷(解析版) 题型:单选题

当x=1时,代数式+2的值是1,当x=-1时,代数式-2的值是( )

A. -2 B. -1 C. 0 D. 1

查看答案和解析>>

科目:初中数学 来源:[首发]广东省汕头市澄海区2017届九年级5月模拟考试数学试卷 题型:填空题

如图,边长不等的正方形依次排列,第一个正方形的边长为1,第二个正方形的边长是第一个正方形边长的2倍,第三个正方形的边长是第二个正方形边长的2倍,依此类推,…….若阴影三角形的面积从左向右依次记为S1、S2、S3、……、Sn,则S4的值为_________.

查看答案和解析>>

科目:初中数学 来源:2016-2017学年山东省八年级下学期期中阶段性教学评估考试数学试卷(解析版) 题型:解答题

已知:如图,等边三角形ABD与等边三角形ACE具有公共顶点A,连接CD,BE,交于点P.

(1)观察度量, 的度数为____.(直接写出结果)

(2)若绕点A将△ACE旋转,使得,请你画出变化后的图形.(示意图)

(3)在(2)的条件下,求出的度数.

查看答案和解析>>

同步练习册答案