精英家教网 > 初中数学 > 题目详情

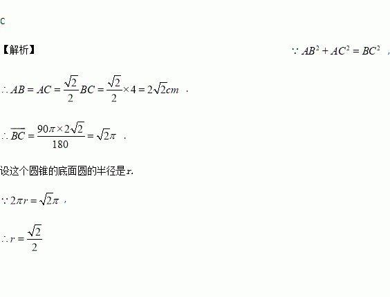
如图,从一块直径为4cm的圆形纸片上剪出一个圆心角为90°的扇形ABC,使点A,B,C在圆周上,将剪下的扇形作为一个圆锥的侧面,则这个圆锥的底面圆的半径是( )

A. 2cm B. cm C. cm D. 2cm

练习册系列答案
相关习题

科目:初中数学 来源:【全国百强校】云南省曲靖市2017届九年级下学期第一次月考数学试卷 题型:填空题

如图,动点P在平面直角坐标系中按图中箭头所示方向运动,第1次从原点运动到点(1, 2),第2次接着运动到点(2, 0),第3次接着运动到点(3, 1),…,按这样的运动规律,经过第2016次运动后,动点P的坐标是_______________.

查看答案和解析>>

科目:初中数学 来源:江苏省无锡市2016-2017学年七年级5月月考数学试卷 题型:填空题

根据图中所表示的已知角的度数,可以求出∠α=________°.

查看答案和解析>>

科目:初中数学 来源:山东省济宁市四校2017届九年级下学期中考联考模拟数学试卷 题型:解答题

某商家预测一种应季衬衫能畅销市场,就用13200元购进了一批这种衬衫,面市后果然供不应求,商家又用28800元购进了第二批这种衬衫,所购数量是第一批购进量的2倍,但单价贵了10元.

(1)该商家购进的第一批衬衫是多少件?

(2)若两批衬衫按相同的标价销售,最后剩下50件按八折优惠卖出,如果两批衬衫全部售完后利润不低于25%(不考虑其他因素),那么每件衬衫的标价至少是多少元?

查看答案和解析>>

科目:初中数学 来源:山东省济宁市四校2017届九年级下学期中考联考模拟数学试卷 题型:填空题

如图,抛物线y=﹣x2﹣2x+3与x轴交于点A、B,把抛物线在x轴及其上方的部分记作C1,将C1关于点B中心对称得C2,C2与x轴交于另一点C,将C2关于点C中心对称得C3,连接C1与C3的顶点,则图中阴影部分的面积为_________.

查看答案和解析>>

科目:初中数学 来源:山东省济宁市四校2017届九年级下学期中考联考模拟数学试卷 题型:单选题

为了打造书香校园,了解某校学生的课外阅读情况,随机抽查了10学生周阅读用时数,结果如下表:

则关于这10名学生周阅读所用时间,下列说法正确的是(  )

A. 中位数是6.5 B. 众数是12 C. 平均数是3.9 D. 方差是6

查看答案和解析>>

科目:初中数学 来源:江苏省南京市六合区2017届九年级第一次模拟考试数学试卷 题型:解答题

如图,小明要测量河内小岛B到河边公路AD的距离,在点A处测得∠BAD=37°,沿AD方向前进150米到达点C,测得∠BCD=45°. 求小岛B到河边公路AD的距离.

(参考数据:sin37°≈ 0.60,cos37° ≈ 0.80,tan37° ≈0.75)

查看答案和解析>>

科目:初中数学 来源:江苏省南京市六合区2017届九年级第一次模拟考试数学试卷 题型:单选题

如图,在Rt△ABC中,∠C=90°,AD是△ABC的角平分线,若CD=4,AC=12,则△ABC的面积为(   )

A. 48 B. 50 C. 54 D. 60

查看答案和解析>>

科目:初中数学 来源:安徽六安市 2017年 九年级数学中考模拟试卷(含答案) 题型:填空题

因式分【解析】
x2﹣49=______________.

查看答案和解析>>

同步练习册答案