精英家教网 > 初中数学 > 题目详情

因式分解

(1);(2)

练习册系列答案
相关习题

科目:初中数学 来源:2016-2017学年河北省唐山市路南区八年级下学期期中质量检测数学试卷(解析版) 题型:填空题

比较大小:__.(填“>”、“=”、“<”).

查看答案和解析>>

科目:初中数学 来源:2017届上海市宝山区九年级第二学期期中考试数学试卷(解析版) 题型:解答题

如图,已知直线与x轴交于点B,与y轴交于点C,抛物线

与x轴交于A、B两点(A在B的左侧),与y轴交于点C.

(1)求抛物线的解析式;

(2)点M是上述抛物线上一点,如果△ABM和△ABC相似,求点M的坐标;

(3)连接AC,求顶点D、E、F、G在△ABC各边上的矩形DEFC面积最大时,写出该矩形在AB边上的顶点的坐标.

查看答案和解析>>

科目:初中数学 来源:2017届上海市宝山区九年级第二学期期中考试数学试卷(解析版) 题型:填空题

计算:______.

查看答案和解析>>

科目:初中数学 来源:2016-2017学年广西北海市合浦县七年级下学期期中考试数学试卷(解析版) 题型:解答题

阅读理解.

因为, ①

因为

所以由①得: , 由②得:

所以

试根据上面公式的变形解答下列问题:

(1)已知,则下列等式成立的是( )

; ②; ③; ④

A.①; B.①②; C.①②③; D.①②③④;

(2)已知,求下列代数式的值:

; ②;③.

查看答案和解析>>

科目:初中数学 来源:2016-2017学年广西北海市合浦县七年级下学期期中考试数学试卷(解析版) 题型:填空题

若2x+y=3,则4x·2y=_____________.

查看答案和解析>>

科目:初中数学 来源:2016-2017学年广西北海市合浦县七年级下学期期中考试数学试卷(解析版) 题型:单选题

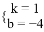
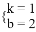
若y=kx+b中,当x=-1时,y=1;当x=2时,y=-2,则k与b为( )

A. B. C. D.

查看答案和解析>>

科目:初中数学 来源:2016-2017学年山东省泰安市泰山区六年级(五四制)上学期期末学情检测数学试卷(解析版) 题型:填空题

甲乙两城市相距420千米,客车与轿车分别从甲乙两城市同时出发,相向而行。已知客车每小时行70千米,轿车每小时行110千米,经过__________小时客车与轿车相距60千米。

查看答案和解析>>

科目:初中数学 来源:2016-2017学年江苏省靖江市七年级下学期期中考试数学试卷(解析版) 题型:单选题

如图,五边形ABCDE中,AB∥CD,∠1、∠2、∠3分别是∠BAE、∠AED、∠EDC的外角,则∠1+∠2+∠3等于( )

A. 90° B. 180° C. 210° D. 270°

查看答案和解析>>

同步练习册答案