精英家教网 > 初中数学 > 题目详情

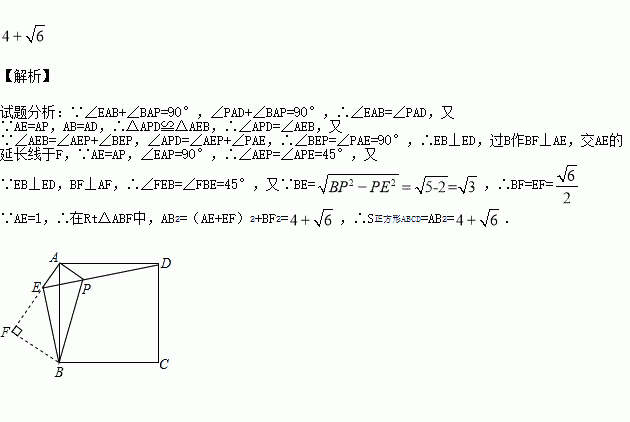
已知:如图,在正方形ABCD外取一点E,连接AE、BE、DE.过点A作AE的垂线交DE于点P.若AE=AP=1,,则正方形的面积为

练习册系列答案
相关习题

科目:初中数学 来源:2015-2016学年浙江省杭州市大江东七年级下学期期中考试数学试卷(解析版) 题型:选择题

如图,∠3=∠4则下列结论一定成立的是( )

A.AD∥BC B. ∠B=∠D C. ∠1=∠2 D. ∠B+∠BCD=180°

查看答案和解析>>

科目:初中数学 来源:2015-2016学年四川省眉山市华兴联谊学校七年级下学期期中数学试卷(解析版) 题型:解答题

查看答案和解析>>

科目:初中数学 来源:2015-2016学年四川省眉山市华兴联谊学校七年级下学期期中数学试卷(解析版) 题型:选择题

足球比赛的记分规则:胜一场得3分,平一场得1分,负一场得0分.某队打了14场,负5场,共得19分,那么这个队胜了( ).

A.3场 B.4场 C.5场 D.6场

查看答案和解析>>

科目:初中数学 来源:2016届重庆市校九年级下学期第一阶段考试数学试卷(解析版) 题型:解答题

“不览夜景,味道重庆.”乘游船也有两江,犹如在星河中畅游,是一个近距离认识重庆的最佳窗口.“两江号”游轮经过核算,每位游客的接待成本为30元.根据市场调查,同一时段里,票价为40元时,每晚将售出船票600张,而票价每涨1元,就会少售出10张船票.

(1)若该游轮每晚获得10000元利润的同时,适当控制游客人数,保持应有的服务水准,则票价应定为多少元?

(2)春节期间,工商管理部门规定游轮船票单价不能低于44元,同时该游轮为提高市场占有率,决定每晚售出船票数量不少于540张,则票价应定为多少元,才能使每晚获得的利润最多?

查看答案和解析>>

科目:初中数学 来源:2016届重庆市校九年级下学期第一阶段考试数学试卷(解析版) 题型:填空题

地球的表面积约为5.1亿平方千米,其中海洋约占70%,则海洋的面积用科学记数法可表示为 平方千米.

查看答案和解析>>

科目:初中数学 来源:2016届重庆市校九年级下学期第一阶段考试数学试卷(解析版) 题型:选择题

不等式组的解集在数轴上表示正确的是( )

查看答案和解析>>

科目:初中数学 来源:2016届浙江省九年级下学期学科素养测试数学试卷(解析版) 题型:选择题

如图,在□ABCD中,AB=2BC,BEAD于E,F为CD中点,设,则下面结论成立的是( )

A. B. C. D.

查看答案和解析>>

科目:初中数学 来源:2016届北京市延庆区九年级上学期期末考试数学试卷(解析版) 题型:解答题

已知圆内接正三角形边心距为2cm,求它的边长.

查看答案和解析>>

同步练习册答案