精英家教网 > 初中数学 > 题目详情
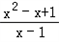
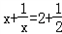
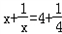
先阅读下面的材料,然后解答问题.通过计算,发现方程:
的解为
的解为
的解为

(1)观察上述方程的解,猜想关于x的方程的解是_________
(2)根据上面的规律,猜想关于x的方程的解是_________
(3)类似的,关于x的方程的解是_________
(4)请利用上述规律求关于x的方程的解.
解:(1)观察上述方程的解,猜想关于x的方程的解是 x1=5,x2=
(2)根据上面的规律,猜想关于x的方程的解是 x1=n,x2=
(3)类似的,关于x的方程的解是 x1=m,x2=
(4)=+=x+
则方程即:(x﹣1)+=(a﹣1)+
则x﹣1=a﹣1或x﹣1=.∴x1=a,x2=
练习册系列答案
相关习题

科目:初中数学 来源: 题型:阅读理解

阅读下面的文言文,完成小题。
贺若弼,字辅伯,河南洛阳人也。父敦,以武烈知名,仕周为金州总管,宇文护忌而害之。临刑,呼弼谓之曰:“吾必欲平江南,然此心不果,汝当成吾志。且吾以舌死,汝不可不思。”因引锥刺弼舌出血,诫以慎口。
弼少慷慨有大志,骁勇便弓马,善属文,博涉书记,有重名于当世。周齐王宪闻而敬之,引为记室。未几,封当亭县公,迁小内史。周武帝时,上柱国乌丸轨言于帝曰:“太子非帝王器,臣亦尝与贺若弼论之。”帝呼弼问之,弼知太子不可动摇,恐祸及己,诡对曰:“皇太子德业日新,未睹其阙。”帝默然。弼既退,轨让其背己,弼曰:“君不密则失臣,臣不密则失身,所以不敢轻议也。”及宣帝嗣位,轨竟见诛,弼乃获免。寻与韦孝宽伐陈,攻拔数十城,弼计居多。高祖受禅,阴有并江南之志,访可任者。高颎曰:“朝臣之内,文武才干,无若贺若弼者。”高祖曰:“公得之矣。”
开皇九年,大举伐陈,以弼为行军总管。将渡江,酹酒而祝曰:“弼亲承庙略,远振国威,伐罪吊民,除凶翦暴,上天长江,鉴其若此。如使福善祸淫,大军利涉;如事有乖违,得葬江鱼腹中,死且不恨。”
先是,弼请缘江防人每交代之际,必集历阳。于是大列旗帜,营幕被野。陈人以为大兵至,悉发国中士马。既知防人交代,其众复散。后以为常,不复设备。及此,弼以大军济江,陈人弗之觉也。袭陈南徐州,拔之,执其刺史黄恪。军令严肃,秋毫不犯。有军士于民间沽酒者,弼立斩之。进屯蒋山之白土冈,陈将鲁达、周智安、任蛮奴、田瑞、樊毅、孔范、萧摩诃等以劲兵拒战。田瑞先犯弼军,弼击走之。鲁达等相继递进,弼军屡却。弼揣知其骄,士卒且惰,于是督厉将士,殊死战,遂大破之。
(《隋书•列传第十七》
【小题1】对下列句子中划线词语的解释不正确的一项是(     )(3分)
A.骁勇便弓马便:熟悉
B.轨其背己让:避让,让开
C.轨竟诛见:表被动
D.弼击之走:使……逃,击退
【小题2】下列句子分别编为四组,其中直接表明贺若弼有军事才干的一组是(   )(3分)
①周齐王宪闻而敬之,引为记室        ②知太子不可动摇,恐祸及己,诡对
③与韦孝宽伐陈,攻拔数十城,弼计居多 ④有军士于民间沽酒者,弼立斩之
⑤请缘江防人每交代之际,必集历阳    ⑥弼以大军济江,陈人弗之觉也     
①③⑤      B.②④⑥       C.①④⑤      D.③⑤⑥
【小题3】下列对原文有关内容的概括分析,不正确的一项是(  )(3分)
A.贺若弼的父亲因为说话不够小心谨慎而被人加害,临刑前拿锥子刺伤贺若弼的舌头,告诫他今后一定要慎言。后来在太子一事上他做到了慎言,新皇登基后才幸免于难。
B.贺若弼曾对上柱国乌丸轨说:皇上如果和大臣关系不密切就会失去忠臣,大臣如果和皇上关系不密切就会失去性命。
C.隋高祖伐陈,命贺若弼为行军总管,渡江前贺若弼酹酒而祝,激励士气,然后筹措船只,故设疑阵,麻痹了敌人,趁敌不备,渡江破敌。
D.贺若弼少有大志,年纪轻轻的就文武双全,被权臣周齐王宇文宪招为王府记室,不久,以文才武略而成为皇帝身边的官员,后因高颎的举荐得以充分施展其军事才能,最终实现了父亲的遗志。
【小题4】把文言文阅读材料中画线的句子翻译成现代汉语。(10分)
(1)高祖受禅,阴有并江南之志,访可任者。(3分)
                                                                
(2)弼亲承庙略,远振国威,伐罪吊民,除凶翦暴。(4分)
                                                                
(3) 弼请缘江防人每交代之际,必集历阳。(3分)
                                                                

查看答案和解析>>

科目:初中数学 来源: 题型:阅读理解

阅读下面的文言文,完成小题。
张克戬,字德祥,侍中耆曾孙也。第进士,历河间令,知吴县。吴为浙剧邑,民喜争,大姓怙势持官府。为令者踵故抑首,务为不生事,幸得去而已。克戬一裁以法,奸猾屏气。使者以状闻,召拜卫尉丞。初,克戬从弟克公为御史,劾蔡京。京再辅政,修怨于张氏,以微事黜克戬
宣和七年八月,知汾州。十二月,金兵犯河东,围太原。太原距汾二百里,遣将银朱孛堇来攻,纵兵四掠。克戬毕力扞御。燕人先内附在城下者数十,阴结党欲为内应,悉收斩之。数选劲卒挠敌营,出不意焚其栅,敌惧引去。论功加直秘阁。
靖康元年六月,金兵复逼城。戍将麻世坚中夜斩关出,通判韩琥相继亡,克戬召令兵民曰:“太原既陷,吾固知亡矣。然义不忍负国家、辱父祖,愿与此城终始以明吾节,诸君其自为谋。”皆泣不能仰视,同辞而对曰:“公父母也,愿尽死听命。”乃益厉兵儆守。贼至,身帅将士披甲登陴(陴:城墙),虽屡却敌而援师讫不至。金兵破平遥,平遥为汾大邑,久与贼抗,既先陷,又胁降介休、孝义诸县,据州南二十村,作攻城器具。两遣使持书谕克戬,焚不启。具述危苦之状,募士间道言之朝,不报。十月朔,金益万骑来攻愈急。有十人唱为降语,斩以徇。诸酋列城下,克戬临骂极口,炮中一酋,立毙。度不得免,手草遗表及与妻子遗书,缒州兵持抵京师。明日,金兵从西北隅入,杀都监贾亶,克戬犹帅众巷战。金人募生致之。克戬归索朝服,焚香南向拜舞,自引决,一家死者八人。金将奉其尸礼葬于后园,罗拜设祭,为立庙。事闻,诏赠延康殿学士,赠银三百两、绢五百匹,表揭闾里。绍兴中,谥忠确。
(选自《宋史》)
【小题1】对下列句子中加点词语的解释,不正确的一项是(    )
A.大姓势持官府怙:依仗、凭借
B.结党欲为内应阴:阴谋
C.愿与此城终始以明吾节终始:偏义复词,到最后
D.焚香向拜舞南向:面对南方
【小题2】下列句子分编为四组,全都从正面说明张克戬为人刚直、视死如归品质的一组是(    )
①克戬一裁以法,奸猾屏气。     ②克戬从弟克公为御史,劾蔡京。  
③义不忍负国家、辱父祖。        ④皆泣不能仰视。
⑤克戬归索朝服,焚香南向拜舞,自引决。⑥葬于后园,罗拜设祭,为立庙。
A.①③⑤B.②④⑥C.④⑤⑥D.①②③
【小题3】下列对原文有关内容的概括与分析,不正确的一项是(    )
A.张克戬担任吴县县令期间,一改过去县令明哲保身的为官之道,依靠法律制裁了向来飞扬跋扈的当地大姓豪富,得到朝廷认可,被授予卫尉丞官职。
B.张克戬知汾州期间,金兵包围了太原,并派将领银朱孛堇来攻打汾州。张克戬尽全力抵御敌人,先杀了城里的内应;然后出奇兵扰乱敌人,烧毁敌人营寨的栅栏,敌人畏惧退去。
C.在太原被围、汾州危急的情况下,张克戬身先士卒,拼死抵抗,金兵暗中派遣使臣送劝降书,张克戬看都没看,就焚烧了书信。
D.张克戬在保城无望的情况下,给朝廷写了上表给家人留了遗书,城破后穿朝服自杀身亡。张克戬死后,金人很佩服他,将他礼葬于后园,并拜祭致礼,为他立庙。
【小题4】把文言文阅读材料中画横线的句子翻译成现代汉语。(10分)
(1)京再辅政,修怨于张氏,以微事黜克戬。(3分)
(2)贼至,身帅将士披甲登陴,虽屡却敌而援师讫不至。(3分)
(3)度不得免,手草遗表及与妻子遗书,缒州兵持抵京师。(4分)

查看答案和解析>>

同步练习册答案