精英家教网 > 初中数学 > 题目详情

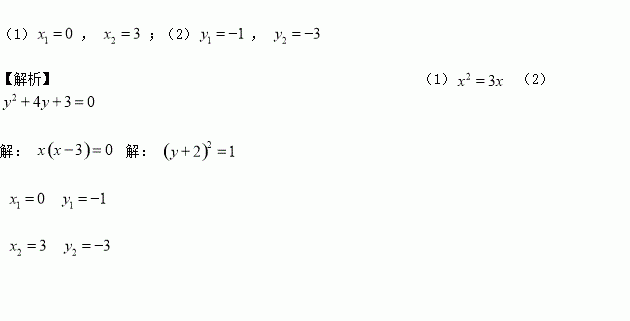
解方程:(1);(2)

练习册系列答案
相关习题

科目:初中数学 来源:浙江省杭州市2016-2017学年八年级下学期期中考试(4月)数学试卷 题型:填空题

已知,那么的值等于________.

查看答案和解析>>

科目:初中数学 来源:[首发]广东省东莞市堂星晨学校2016-2017学年八年级5月月考数学试卷 题型:解答题

某汽车运输公司根据实际需要计划购买大、中型两种客车共20辆,已知大型客车每辆62万元,中型客车每辆40万元,设购买大型客车x(辆),购车总费用为y(万元).

(1)求y与x的函数关系式(不要求写出自变量x的取值范围);

(2)若购买中型客车的数量少于大型客车的数量,请你给出一种费用最省的方案,并求出该方案所需费用.

查看答案和解析>>

科目:初中数学 来源:[首发]广东省东莞市堂星晨学校2016-2017学年八年级5月月考数学试卷 题型:单选题

若函数y=(2m+6)x2+(1-m)x是正比例函数,则m的值是(        )

A. m=-3 B. m=1 C. m=3 D. m>-3

查看答案和解析>>

科目:初中数学 来源:[首发]广东省东莞市堂星晨学校2016-2017学年八年级5月月考数学试卷 题型:单选题

下列计算结果正确的是:( )

A. B. C. D.

查看答案和解析>>

科目:初中数学 来源:[中学联盟]浙江省嘉兴市秀洲区高照实验学校2016-2017学年八年级下学期第二次月考数学试卷 题型:填空题

若一元二次方程ax2﹣bx﹣2017=0有一根为x=﹣1,则a+b=_____.

查看答案和解析>>

科目:初中数学 来源:[中学联盟]浙江省嘉兴市秀洲区高照实验学校2016-2017学年八年级下学期第二次月考数学试卷 题型:单选题

如图,在矩形ABCD中,AB=6,BC=8,M是AD上任意一点,且ME⊥AC于E,MF⊥BD于F,则ME+MF为 (  )

A. B. C. D. 不能确定

查看答案和解析>>

科目:初中数学 来源:[首发]江苏省兴化市顾庄学区三校2017届九年级第三次网上阅卷适应性训练(三模)数学试卷 题型:解答题

某篮球运动员去年共参加40场比赛,其中3分球的命中率为0.25,平均每场有12次3分球未投中.

(1)该运动员去年的比赛中共投中多少个3分球?

(2)在其中的一场比赛中,该运动员3分球共出手20次,小亮说,该运动员这场比赛中一定投中了5个3分球,你认为小亮的说法正确吗?请说明理由.

查看答案和解析>>

科目:初中数学 来源:[首发]广东省东莞市堂星晨学校2016-2017学年七年级5月月考数学试卷 题型:单选题

点P是第二象限的点且到x轴的距离为3、到y轴的距离为4,则点P的坐标是(  )

A. (﹣4,3) B. ( 4,﹣3) C. ( 3,﹣4) D. (﹣3,4).

查看答案和解析>>

同步练习册答案