精英家教网 > 初中数学 > 题目详情

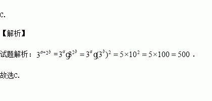
已知,则=

A、-50 B、50 C、500 D、以上都不对

练习册系列答案
相关习题

科目:初中数学 来源:2015-2016学年江苏省淮泗片教育联盟八年级下第一次月考数学试卷(解析版) 题型:单选题

下列事件是随机事件的是 ( )

A. 太阳绕着地球转 B. 小明骑车经过某个十字路口时遇到红灯

C. 地球上海洋面积大于陆地面积 D. 李刚的生日是2月30日

查看答案和解析>>

科目:初中数学 来源:2016届广东省梅州市九年级下学期毕业考试数学试卷(解析版) 题型:填空题

如图,已知∠1=∠2,∠B=30°,则∠3=

查看答案和解析>>

科目:初中数学 来源:2015-2016学年山西省七年级下学期学业水平测试数学试卷(解析版) 题型:填空题

计算:(4xy2-6x2y)÷(-2x)=

查看答案和解析>>

科目:初中数学 来源:2015-2016学年山西省七年级下学期学业水平测试数学试卷(解析版) 题型:填空题

已知,则m=

查看答案和解析>>

科目:初中数学 来源:2015-2016学年山西省七年级下学期学业水平测试数学试卷(解析版) 题型:选择题

下列计算错误的是

A、a·a5÷a4=a2

B、a3÷a=a3

C、x2÷(-x)2=1

D、x3÷x·x2=x4

查看答案和解析>>

科目:初中数学 来源:2016届江苏省南通市九年级下3月月考数学试卷(解析版) 题型:解答题

如图,在直角坐标系xOy中,直线y=mx与双曲线相交于A(﹣1,a)、B两点,BC⊥x轴,垂足为C,△AOC的面积是1.

(1)求m、n的值;

(2)求直线AC的解析式.

查看答案和解析>>

科目:初中数学 来源:2016届江苏省南通市九年级下3月月考数学试卷(解析版) 题型:选择题

南海是我国固有领海,它的面积超过东海、黄海、渤海面积的总和,约为360万平方千米,360万用科学记数法表示为( )

A.3.6×102 B.360×104 C.3.6×104 D.3.6×106

查看答案和解析>>

科目:初中数学 来源:2015-2016学年山东省济宁市微山县七年级下期中数学试卷(解析版) 题型:填空题

﹣1的相反数是

查看答案和解析>>

同步练习册答案