精英家教网 > 初中数学 > 题目详情
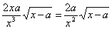
化简:(x>a>0)
解:原式=

∴原式=
练习册系列答案
相关习题

科目:初中数学 来源:数学教研室 题型:022

化简:=________(x>y>0)

 

查看答案和解析>>

科目:初中数学 来源:2012-2013学年河南信阳二中七年级下册期末模拟考试数学试卷(带解析) 题型:填空题

如图所示,实数a,b在数轴上的位置|b|>|a|,化简的结果为______________.

查看答案和解析>>

科目:初中数学 来源:2013学年安徽省桐城市黄岗初中七年级上学期阶段测试(一)数学试卷(带解析) 题型:计算题

有理数在数轴上的位置如图,

(1)判断正负,用“>”或“<”填空
-____0,    -_____0,    +_____0
(2)化简:

查看答案和解析>>

科目:初中数学 来源:专项题 题型:计算题

化简:(x>y>1)

查看答案和解析>>

同步练习册答案