精英家教网 > 初中数学 > 题目详情

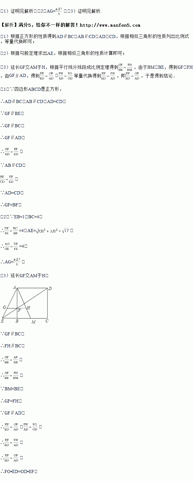
如图,已知:正方形ABCD,点E在CB的延长线上,连接AE、DE,DE与边AB交于点F,FG∥BE交AE于点G.

(1)求证:GF=BF;

(2)若EB=1,BC=4,求AG的长;

(3)在BC边上取点M,使得BM=BE,连接AM交DE于点O.求证:FO•ED=OD•EF.

练习册系列答案
相关习题

科目:初中数学 来源:北京市海淀区2018届九年级中考数学模拟试卷(4月份) 题型:解答题

计算:()﹣2﹣+(﹣4)0﹣cos45°.

查看答案和解析>>

科目:初中数学 来源:山东省济南市2019年九年级学业水平考试模拟试卷数学试卷 题型:单选题

一个由圆柱和圆锥组成的几何体如图水平放置,其主(正)视图为( )

A. B. C. D.

查看答案和解析>>

科目:初中数学 来源:山东省东营市2019届九年级(五四学制)上学期期中考试数学试卷 题型:单选题

如图,直线,等腰直角三角形的两个顶点分别落在直线上,若,则的度数是( )

A. B. C. D.

查看答案和解析>>

科目:初中数学 来源:四川省成都市郫都区2018届九年级下第二次诊断性检测数学试卷 题型:填空题

若实数a、b、c在数轴上对应点的位置如图,则化简:2|a+c|++3|a﹣b|=_____.

查看答案和解析>>

科目:初中数学 来源:四川省成都市郫都区2018届九年级下第二次诊断性检测数学试卷 题型:解答题

(1)计算:sin45°

(2)解不等式组:

查看答案和解析>>

科目:初中数学 来源:安徽省合肥市南校区2018-2019学年度八年级第一学期第一次段考数学试卷 题型:单选题

已知一次函数的图像与直线平行,且过点,那么此一次函数的解析式为( )

A. B. C. D.

查看答案和解析>>

科目:初中数学 来源:河南省2018-2019学年八年级第一学期数学期中试卷 题型:填空题

在平面直角坐标系中,若点 M(﹣1,4)与点 N(x,4)之间的距离是 5,则x的值是________.

查看答案和解析>>

同步练习册答案