精英家教网 > 初中数学 > 题目详情

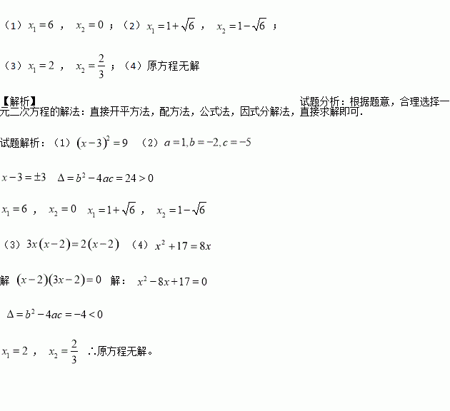
解下列方程:

(1) (2)

(3) (4)

练习册系列答案
相关习题

科目:初中数学 来源:2016-2017学年福建省七年级下学期第一次月考数学试卷(解析版) 题型:填空题

、-π中, 是无理数.

查看答案和解析>>

科目:初中数学 来源:2016-2017学年四川省眉山市东坡区翰昇教育第九年级下学期第一次月考数学试卷(解析版) 题型:解答题

(6分)计算:

查看答案和解析>>

科目:初中数学 来源:2016-2017学年四川省眉山市东坡区翰昇教育第九年级下学期第一次月考数学试卷(解析版) 题型:单选题

某公司为4·20芦山地震灾区捐款3500万元,其中3500万用科学记数法表示为( ).

A. 0.35×108 B .3.5×107 C.3.5×108 D.35×106

查看答案和解析>>

科目:初中数学 来源:2016届江苏省南京市九年级第上学期第一次学情调研数学试卷(解析版) 题型:解答题

(6分)某养殖户每年的养殖成本包括固定成本和可变成本,其中固定成本每年均为4万元,可变成本逐年增长,已知该养殖户第1年的可变成本为2.6万元,设可变成本平均的每年增长的百分率为x.

(1)用含x的代数式表示第3年的可变成本为   万元.

(2)如果该养殖户第3年的养殖成本为7.146万元,求可变成本平均每年增长的百分率

查看答案和解析>>

科目:初中数学 来源:2016届江苏省南京市九年级第上学期第一次学情调研数学试卷(解析版) 题型:填空题

现定义运算“★”,对于任意实数,都有= ,如:3★5=,若★2=6,则实数的值是________

查看答案和解析>>

科目:初中数学 来源:2016届江苏省南京市九年级第上学期第一次学情调研数学试卷(解析版) 题型:单选题

如图,已知⊙O的半径为13,弦AB长为24,则点O到AB的距离是( )

A. 6 B. 5 C. 4 D. 3

查看答案和解析>>

科目:初中数学 来源:2017届江西省抚州市九年级下学期第一次月考数学试卷(解析版) 题型:填空题

有四张质地相同的卡片,它们的背面相同,其中两张的正面印有“粽子”的图案,另外两张的正面印有“龙舟”的图案,现将它们背面朝上,洗均匀后排列在桌面,任意翻开两张,那么两张图案一样的概率是______.

查看答案和解析>>

科目:初中数学 来源:2016-2017学年山东省滨州市邹平双语学校一二区七年级上学期期中考试数学试卷(解析版) 题型:填空题

猜数字游戏中,小明写出如下一组数: ……,小亮猜想出第六个数字是,根据此规律,第n个数是__________.

查看答案和解析>>

同步练习册答案