精英家教网 > 初中数学 > 题目详情

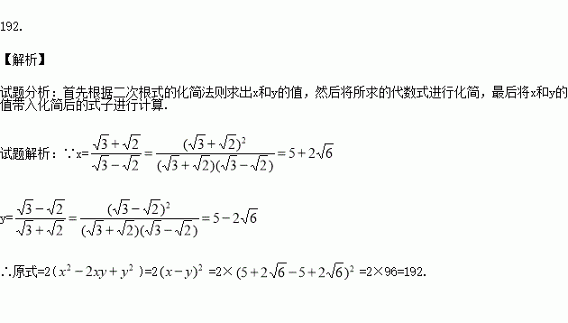
已知,求代数式的值.

练习册系列答案
相关习题

科目:初中数学 来源:2015-2016学年北大附中河南分校八年级3月月考数学试卷(解析版) 题型:解答题

实数a、b在数轴上的位置如图,化简

查看答案和解析>>

科目:初中数学 来源:2015-2016学年安徽省七年级3月月考数学试卷(解析版) 题型:选择题

下列说法错误的是( )

A. 1的平方根是±1 B.–1的立方根是-1

C. 是2的平方根 D.–3是的平方根

查看答案和解析>>

科目:初中数学 来源:2015-2016学年安徽省宁国市D片七年级期中联考数学试卷(解析版) 题型:选择题

已知不等式的正整数解是1,2,则a的取值范围是( )

A. B. C. D.

查看答案和解析>>

科目:初中数学 来源:2015-2016学年安徽省宁国市D片七年级期中联考数学试卷(解析版) 题型:选择题

计算的结果是( )

A. B. C. D.

查看答案和解析>>

科目:初中数学 来源:2015-2016学年安徽省八年级下第一次月考数学卷(解析版) 题型:填空题

若m是方程的解,则的值为 .

查看答案和解析>>

科目:初中数学 来源:2015-2016学年安徽省八年级下第一次月考数学卷(解析版) 题型:选择题

是关于x的一元二次方程,则m的值为( )

A. B. C. D.无法确定

查看答案和解析>>

科目:初中数学 来源:2016届山东省九年级下学期阶段检测数学试卷(解析版) 题型:填空题

如图,在等边△ABC中,AB=6,D是BC上一点,且BC=3BD,△ABD绕点A旋转后得到△ACE,则CE的长度为_______ 。

查看答案和解析>>

科目:初中数学 来源:2015-2016学年山东省七年级下第一次月考数学试卷(解析版) 题型:解答题

已知一个正数x的平方根是2a-3与5-a,.求a和x的值

查看答案和解析>>

同步练习册答案