精英家教网 > 初中数学 > 题目详情
如图(1),在平面直角坐标系中,点O是坐标原点,四边形ABCO是菱形,点A的坐标为(-3,4),点C在x轴的正半轴上,直线AC交y轴于点M,AB边交y轴于点H。
(1)求直线AC的解析式;
(2)连接BM,如图(2),动点P从点A出发,沿折线ABC方向以2个单位长度/秒的速度向终点C匀速运动,设△PMB的面积为S(S≠0),点P的运动时间为t 秒,求S与t之间的函数关系式(要求写出自变量t 的取值范围);
(3)在(2)的条件下,当t为何值时,∠MPB与∠BCO互为余角,并求此时直线OP与直线AC所夹锐角的正切值。

解:(1)过点A作AE⊥x轴,垂足为E(如图(1)),
∵A(-3,4),
∴AE=4,OE=3,

∵四边形ABCO为菱形,
∴OC=CB=BA=OA=5,
∴C(5,0),
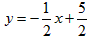
设直线AC的解析式为:y=kx+b,
则有,∴
∴直线AC的解析式为:
(2)由(1)得M点坐标为

如图(1),当P点在AB边上运动时,由题意得OH=4,

=

当P点在BC边上运动时,记为P1
∵∠OCM=∠BCM,CO=CB,CM=CM,
∴△OMC≌△BMC,
∴OM=BM=,∠MOC=∠MBC=90°,

∴S=
(3)设OP与AC相交于点Q,连接OB交AC于点K,
∵∠AOC=∠ABC,
∴∠AOM=∠ABM,
∵∠MPB+∠BCO=90°,∠BAO=∠BCO,∠BAO+∠AOH= 90°,
∴∠MPB=∠AOH,
∴∠MPB=∠MBH,
当P点在AB边上运动时,如图(2)
∵∠MPB=∠MBH,
∴PM=BM,
∵MH⊥PB,
∴PH=HB===2,
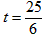
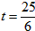
∴PA=AH-PH=1,
∴t=
∵AB∥OC,
∴∠PAQ=∠OCQ
∴∠AQP=∠CQO,
∴A△QP∽△CQO,

在Rt△AEC中,

在Rt△OHB中,
∵AC⊥OB,OK=KB,AK=CK,



当P点在BC边上运动时,如图(3)
∵∠BHM=∠PBM=90°,∠MPB=∠MBH,
∴tan∠MPB=tan∠MBH,
,即


∴PC=BC-BP=5-
由PC∥OA,同理可证△PQC∽△OQA,





综上所述,当时,∠MPB与∠BCO互为余角,
直线OP与直线AC所夹锐角的正切值为
时,∠MPB与∠BCO互为余角,
直线OP与直线AC所夹锐角的正切值为1。



练习册系列答案
相关习题

科目:初中数学 来源: 题型:

暑假期间,北关中学对网球场进行了翻修,在水平地面点A处新增一网球发射器向空中发射网球,网球飞行线路是一条抛物线(如图所示),在地面上落点为B.有同学在直线AB上点C(靠点B一侧)竖直向上摆放无盖的圆柱形桶,试图让网球落入桶内,已知AB=4m,AC=3m,网球飞行最大高度OM=5m,圆柱形桶的直径为0.5m,高为0.3m(网球精英家教网的体积和圆柱形桶的厚度忽略不计),以M点为顶点,抛物线对称轴为y轴,水平地面为x轴建立平面直角坐标系.
(1)请求出抛物线的解析式;
(2)如果竖直摆放5个圆柱形桶时,网球能不能落入桶内?
(3)当竖直摆放圆柱形桶多少个时,网球可以落入桶内?

查看答案和解析>>

科目:初中数学 来源: 题型:

(2012•武汉模拟)要修建一个圆形喷水池,在池中心竖直安装一根2.25m的水管,在水管的顶端安一个喷水头,使喷出的抛物线形水柱在与池中心的水平距离为1m处达到最高,高度为3m.
(1)建立适当的平面直角坐标系,使水管顶端的坐标为(0,2.25),水柱的最高点的坐标为(1,3),求出此坐标系中抛物形水柱对应的函数关系式(不要求写取值范围);
(2)如图,在水池底面上有一些同心圆轨道,每条轨道上安装排水地漏,相邻轨道之间的宽度为0.3m,最内轨道的半径为rm,其上每0.3m的弧长上安装一个地漏,其它轨道上的个数相同,水柱落地处为最外轨道,其上不安装地漏.求当r为多少时池中安装的地漏的个数最多?

查看答案和解析>>

科目:初中数学 来源: 题型:

一个多面体的面数(a)和这个多面体表面展开后得到的平面图形的顶点数(b),棱数(c)之间存在一定规律,如图1是正三棱柱的表面展开图,它原有5个面,展开后有10个顶点(重合的顶点只算一个),14条棱.

【探索发现】
(1)请在图2中用实线画出立方体的一种表面展开图;
(2)请根据图2你所画的图和图3的四棱锥表面展开图填写下表:
多面体 面数a 展开图的顶点数b 展开图的棱数c
直三棱柱 5 10 14
四棱锥
5
5
8 12
立方体
6
6
14
14
19
19
(3)发现:多面体的面数(a)、表面展开图的顶点数(b)、棱数(c)之间存在的关系式是
a+b-c=1
a+b-c=1

【解决问题】
(4)已知一个多面体表面展开图有17条棱,且展开图的顶点数比原多面体的面数多2,则这个多面体的面数是多少?

查看答案和解析>>

科目:初中数学 来源:学习周报 数学 华师大八年级版 2009-2010学年 第13期 总第169期 华师大版 题型:044

工具阅读:

在平面上画两条原点重合、互相垂直且具有相同单位长度的数轴(如图),这就建立了平面直角坐标系.通常把其中水平的一条数轴叫做x轴或横轴,取向右为正方向;铅直的数轴叫做y轴或纵轴,取向上为正方向;两数轴的交点O叫做坐标原点.

问题探究:如图1,在6×6的方格纸中,给出如下三种变换:P变换,Q变换,R变换.

将图形F沿x轴向右平移1格得图形F1,称为作1次P变换;

将图形F沿y轴翻折得图形F2,称为作1次Q变换;

将图形F绕坐标原点顺时针旋转90°得图形F3,称为作1次R变换.

规定:PQ变换表示先作1次Q变换,再作1次P变换;QP变换表示先作1次P变换,再作1次Q变换;Rn变换表示作n次R变换.

解答下列问题:

(1)作R4变换相当于至少作________次Q变换;

(2)请在图2中画出图形F作R2011变换后得到的图形F4

(3)PQ变换与QP变换是否是相同的变换?请在图3中画出PQ变换后得到的图形F5,在图4中画出QP变换后得到的图形F6

查看答案和解析>>

科目:初中数学 来源:2011-2012学年重庆市南开中学九年级(上)第一次月考数学试卷(解析版) 题型:解答题

暑假期间,北关中学对网球场进行了翻修,在水平地面点A处新增一网球发射器向空中发射网球,网球飞行线路是一条抛物线(如图所示),在地面上落点为B.有同学在直线AB上点C(靠点B一侧)竖直向上摆放无盖的圆柱形桶,试图让网球落入桶内,已知AB=4m,AC=3m,网球飞行最大高度OM=5m,圆柱形桶的直径为0.5m,高为0.3m(网球的体积和圆柱形桶的厚度忽略不计),以M点为顶点,抛物线对称轴为y轴,水平地面为x轴建立平面直角坐标系.
(1)请求出抛物线的解析式;
(2)如果竖直摆放5个圆柱形桶时,网球能不能落入桶内?
(3)当竖直摆放圆柱形桶多少个时,网球可以落入桶内?

查看答案和解析>>

同步练习册答案