精英家教网 > 初中数学 > 题目详情

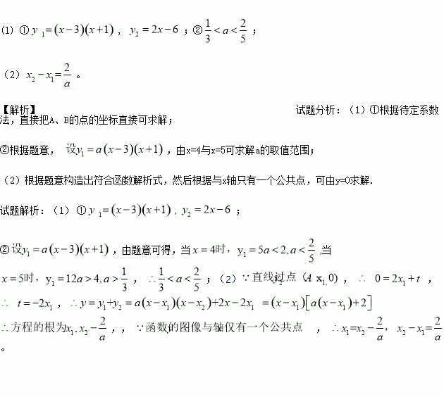
已知抛物线与x轴分别交于A(,0)、B(,0)两点,直线=2x+t经过点A.

(1)已知A、B两点的横坐标分别为3、.

①当a =1时,直接写出抛物线和直线相应的函数表达式;

②如图,已知抛物线在3<x<4这一段位于直线的下方,在5<x<6这一段位于直线的上方,求a的取值范围;

(2)若函数的图像与轴仅有一个公共点,探求之间的数量关系.

练习册系列答案
相关习题

科目:初中数学 来源:[中学联盟]浙江省嘉兴市秀洲区高照实验学校2016-2017学年七年级下学期第二次月考数学试卷 题型:填空题

若等式(6a3+3a2)÷(6a)=(a+1)(a+2)成立,则a的值为________________.

查看答案和解析>>

科目:初中数学 来源:[首发]广东省东莞市堂星晨学校2016-2017学年八年级5月月考数学试卷 题型:单选题

如图所示,平行四边形ABCD的对角线AC,BD交于点O,已知AD=16,BD=24,AC=12,则△OBC的周长为(  )

A. 26 B. 34 C. 40 D. 52

查看答案和解析>>

科目:初中数学 来源:[中学联盟]浙江省嘉兴市秀洲区高照实验学校2016-2017学年八年级下学期第二次月考数学试卷 题型:填空题

一个四边形三个内角度数分别是80°、90°、100°,则余下的一个内角度数是_________.

查看答案和解析>>

科目:初中数学 来源:[中学联盟]浙江省嘉兴市秀洲区高照实验学校2016-2017学年八年级下学期第二次月考数学试卷 题型:单选题

甲、乙、丙三人进行射击测试,每人10次射击成绩的平均数都为8.8环,方差分别为s甲2=0.016,s乙2=0.025,s丙2=0.012,则三人中成绩最稳定的选手是(  )

A. 甲 B. 乙 C. 丙 D. 不能确定

查看答案和解析>>

科目:初中数学 来源:[首发]江苏省兴化市顾庄学区三校2017届九年级第三次网上阅卷适应性训练(三模)数学试卷 题型:解答题

为了倡导节能低碳的生活,某公司对集体宿舍用电收费作如下规定:一间宿舍一个月用电量不超过a千瓦时,则一个月的电费为20元;若超过a千瓦时,则除了交20元外,超过部分每千瓦时要交元。某宿舍3月份用电80千瓦时,交电费35元;4月份用电45千瓦时,交电费20元。

(1)求a的值;

(2)若该宿舍5月份交电费45元,那么该宿舍当月用电量为多少千瓦时?

查看答案和解析>>

科目:初中数学 来源:[首发]江苏省兴化市顾庄学区三校2017届九年级第三次网上阅卷适应性训练(三模)数学试卷 题型:填空题

圆锥体的底面半径为2,侧面积为8π,则其侧面展开图的圆心角是______°.

查看答案和解析>>

科目:初中数学 来源:[首发]广东省东莞市堂星晨学校2016-2017学年七年级5月月考数学试卷 题型:解答题

解不等式:2x﹣1≥3x+1,并把解集在数轴上表示出来.

查看答案和解析>>

科目:初中数学 来源:[中学联盟]江苏省连云港市岗埠中学2017届九年级3月月考数学试卷 题型:单选题

如图,将半径为2cm的圆形纸片折叠后,圆弧恰好经过圆心O,则折痕AB的长为(  )

A. 2cm B. cm C. D.

查看答案和解析>>

同步练习册答案