精英家教网 > 初中数学 > 题目详情

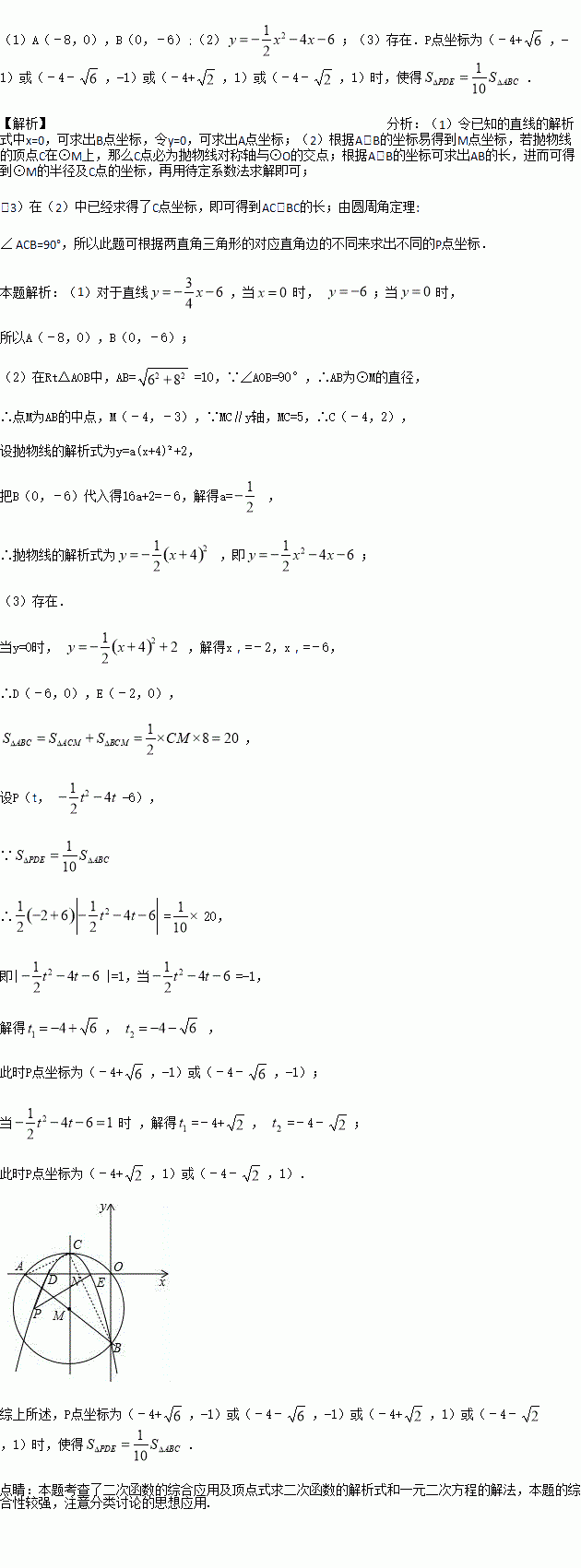
如图,在平面直角坐标系中,圆M经过原点O,直线与x轴、y轴分别相交于A,B两点.

(1)求出A,B两点的坐标;

(2)若有一抛物线的对称轴平行于y轴且经过点M,顶点C在圆M上,开口向下,且经过点B,求此抛物线的函数解析式;

(3)设(2)中的抛物线交轴于D、E两点,在抛物线上是否存在点P,使得S△PDE=S△ABC?若存在,请求出点P的坐标;若不存在,请说明理由.

练习册系列答案
相关习题

科目:初中数学 来源:四川省自贡市2016-2017学年七年级下学期期末复习测试数学试卷 题型:单选题

如果点轴上,则点的坐标是( )

A. B. C. D.

查看答案和解析>>

科目:初中数学 来源:江苏省苏州昆山市2017年中考数学一轮复习专题练习《无理数与实数》 题型:单选题

的算术平方根是(  )

A. 2 B. ±2 C. D.

查看答案和解析>>

科目:初中数学 来源:江苏省高邮市2016-2017学年八年级下学期第一次课堂效率检测(3月月考)数学试卷 题型:填空题

当x = _________ 时,分式值为0.

查看答案和解析>>

科目:初中数学 来源:江苏省高邮市2016-2017学年八年级下学期第一次课堂效率检测(3月月考)数学试卷 题型:单选题

下列分式约分正确的是( )

A. B. C. D.

查看答案和解析>>

科目:初中数学 来源:内蒙古毕业第一次模拟考试数学试卷 题型:解答题

“为了安全,请勿超速”.如图,一条公路建成通车,在某直线路段MN限速60千米/小时,为了检测车辆是否超速,在公路MN旁设立了观测点C,从观测点C测得一小车从点A到达点B行驶了5秒钟,已知∠CAN=45°,∠CBN=60°,BC=200米,此车超速了吗?请说明理由.

(参考数据:≈1.41,≈1.73)

查看答案和解析>>

科目:初中数学 来源:内蒙古毕业第一次模拟考试数学试卷 题型:填空题

不等式组的最小整数解是__________.

查看答案和解析>>

科目:初中数学 来源:江苏省南京市苏科版八年级数学下册:9.3 平行四边形 测试卷 题型:解答题

如图,四边形ABCD为平行四边形,∠BAD的角平分线AE交CD于点F,交BC的延长线于点E.

(1)求证:BE=CD;

(2)连接BF,若BF⊥AE,∠BEA=60°,AB=4,求平行四边形ABCD的面积.

查看答案和解析>>

科目:初中数学 来源:江苏省连云港市2016-2017学年度第二学期数学中考模拟试卷三 题型:填空题

如图,三个全等的小矩形沿“横—竖—横”排列在一个边长分别为5.7,4.5的大矩形中,图中一个小矩形的周长等于_______.

查看答案和解析>>

同步练习册答案