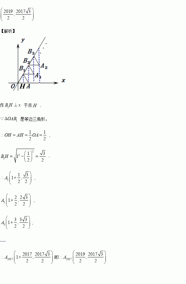
如图,等边三角形△OAB1的一边OA在
轴上,且OA=1,当△OAB1沿直线
滚动,使一边与直线
重合得到△B1A1B2,△B2A2B3,......则点A2017的坐标是___________.
![]()
科目:初中数学 来源:【全国百强校】云南省曲靖市2017届九年级下学期第一次月考数学试卷 题型:单选题
已知:如图,四边形ABCD是⊙O的内接正方形,点P是劣弧
上不同于点C的任意一点,则cos∠BPC的值是( )
![]()
A.
B.
C. 1 D. ![]()
查看答案和解析>>
科目:初中数学 来源:江苏省无锡市2016-2017学年七年级5月月考数学试卷 题型:单选题
如图,有以下四个条件:①∠B+∠BCD=180°,②∠1=∠2,③∠3=∠4,④∠B=∠5,其中能判定AB∥CD的条件的个数有( )
![]()
A. 1 B. 2 C. 3 D. 4
查看答案和解析>>
科目:初中数学 来源:山东省济宁市四校2017届九年级下学期中考联考模拟数学试卷 题型:解答题
某商家预测一种应季衬衫能畅销市场,就用13200元购进了一批这种衬衫,面市后果然供不应求,商家又用28800元购进了第二批这种衬衫,所购数量是第一批购进量的2倍,但单价贵了10元.
(1)该商家购进的第一批衬衫是多少件?
(2)若两批衬衫按相同的标价销售,最后剩下50件按八折优惠卖出,如果两批衬衫全部售完后利润不低于25%(不考虑其他因素),那么每件衬衫的标价至少是多少元?
查看答案和解析>>
科目:初中数学 来源:山东省济宁市四校2017届九年级下学期中考联考模拟数学试卷 题型:单选题
在正方形ABCD中,点E为BC边的中点,把△ABE沿直线AE折叠,B点落在点B′处,B′B与AE交于点F,连接AB′,DB′,FC.下列结论:①AB′=AD;②△FCB′为等腰直角三角形;③∠CB′D=135°;④BB′=BC;⑤
.其中正确的个数为( ).
![]()
A. 2 B. 3 C. 4 D. 5
查看答案和解析>>
科目:初中数学 来源:山东省济宁市四校2017届九年级下学期中考联考模拟数学试卷 题型:单选题
为了打造书香校园,了解某校学生的课外阅读情况,随机抽查了10学生周阅读用时数,结果如下表:
![]()
则关于这10名学生周阅读所用时间,下列说法正确的是( )
A. 中位数是6.5 B. 众数是12 C. 平均数是3.9 D. 方差是6
查看答案和解析>>
科目:初中数学 来源:江苏省南京市六合区2017届九年级第一次模拟考试数学试卷 题型:填空题
如图,∠A=∠C,只需补充一个条件_______________,就可得△ABD≌△CDB.
![]()
查看答案和解析>>
科目:初中数学 来源:安徽六安市 2017年 九年级数学中考模拟试卷(含答案) 题型:解答题
如图山坡上有一根旗杆AB,旗杆底部B点到山脚C点的距离BC为
米,斜坡BC的坡度i=1:
.小明在山脚的平地F处测量旗杆的高,点C到测角仪EF的水平距离CF=1米,从E处测得旗杆顶部A的仰角为45°,旗杆底部B的仰角为20°.
(1)求坡角∠BCD;
(2)求旗杆AB的高度.
(参考数值:sin20°≈0.34,cos20°≈0.94,tan20°≈0.36)
![]()
查看答案和解析>>
湖北省互联网违法和不良信息举报平台 | 网上有害信息举报专区 | 电信诈骗举报专区 | 涉历史虚无主义有害信息举报专区 | 涉企侵权举报专区
违法和不良信息举报电话:027-86699610 举报邮箱:58377363@163.com