精英家教网 > 初中数学 > 题目详情

如图,直角梯形OABC的直角顶点是坐标原点,边OA,OC分别在x轴,y轴的正半轴上.OA∥BC,D是BC上一点,,AB=3, ∠OAB=45°,E,F分别是线段OA,AB上的两个动点,且始终保持∠DEF=45°,设OE=x,AF=y,则y与x的函数关系式为  ▲ ;如果△AEF是等腰三角形.△AEF沿EF对折得△A′EF与五边形OEFBC重叠部分的面积   ▲ .

或1或    

解析解:过B作BM⊥x轴于M;

Rt△ABM中,AB=3,∠BAM=45°;则AM=BM=
∴BC=OA﹣AM=4=,CD=BC﹣BD=
连接OD;
如图(1),由(1)知:D在∠COA的平分线上,则∠DOE=∠COD=45°;

又∵在梯形DOAB中,∠BAO=45°,
∴由三角形外角定理得:∠1=∠DEA﹣45°,又∠2=∠DEA﹣45°,   
∴∠1=∠2,
∴△ODE∽△AEF,
,即:
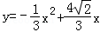
∴y与x的解析式为:
当△AEF为等腰三角形时,存在EF=AF或EF=AE或AF=AE共3种情况;
①当EF=AF时,如图(2),∠FAE=∠FEA=∠DEF=45°;

∴△AEF为等腰直角三角形,D在A′E上(A′E⊥OA),
B在A′F上(A′F⊥EF)
∴△A′EF与五边形OEFBC重叠的面积为四边形EFBD的面积;





(也可用S阴影=SA‘EF﹣SA‘BD),
②当EF=AE时,如图(3),此时△A′EF与五边形OEFBC重叠部分面积为△A′EF面积.
∠DEF=∠EFA=45°,DE∥AB,又DB∥EA,

∴四边形DEAB是平行四边形
∴AE=DB=

练习册系列答案
相关习题

科目:初中数学 来源: 题型:

如图,直角梯形OABC的直角顶点O是坐标原点,边OA,OC分别在x轴、y轴的正半轴上,OA∥BC,D是BC上一点,BD=
1
4
OA=
2
,AB=3,∠OAB=45°,E、F分别是线段OA、AB上的两动点,且始终保持∠DEF=45°.
精英家教网
(1)直接写出D点的坐标;
(2)设OE=x,AF=y,试确定y与x之间的函数关系;
(3)将△AEF沿一条边翻折,翻折前后两个三角形组成的四边形能否成为菱形?若能,请直接写出符合条件的x值;若不能,请说明理由.

查看答案和解析>>

科目:初中数学 来源: 题型:

精英家教网如图,直角梯形OABF中,∠OAB=∠B=90°,A点在x轴上,双曲线y=
k
x
过点F,与AB交于E点,连EF,若
BF
OA
=
2
3
,S△BEF=4,则k=
 

查看答案和解析>>

科目:初中数学 来源: 题型:

精英家教网如图,直角梯形OABC中,∠OAB=∠B=90°,A点在x轴上,双曲线y=
kx
过点C和AB中点D,若S梯形OABC=6,则该双曲线的解析式为
 

查看答案和解析>>

科目:初中数学 来源: 题型:

如图,直角梯形OABC的直角顶点O是坐标原点,边OA,OC分别在x轴、y轴的正半轴上,OA∥BC,D精英家教网是BC上一点,BD=
1
4
OA=
2
,AB=3,∠OAB=45°,E、F分别是线段OA、AB上的两动点,且始终保持∠DEF=45°.
(1)直接写出D点的坐标;
(2)设OE=x,AF=y,试确定y与x之间的函数关系;
(3)当△AEF是等腰三角形时,将△AEF沿EF折叠,得到△A'EF,求△A'EF与五边形OEFBC重叠部分的面积.

查看答案和解析>>

科目:初中数学 来源: 题型:

如图.直角梯形OABC的直角顶点O是坐标原点,边OA,OC分别在x轴、y轴的正半轴上.OA∥BC,OA=4
2
,OC=
3
2
2

∠OAB=45°,D是BC上一点,CD=
3
2
2
.E、F分别是线段OA、AB上的两动点,且始终保持∠DEF=45°,设OE=x,AF=y.
(1)AB=
 
,BC=
 
,∠DOE=
 

(2)证明△ODE∽△AEF,并确定y与x之间的函数关系;
(3)当AF=EF时,将△AEF沿EF折叠,得到△A′EF,求△A′EF与五边形OEFBC重叠部分的面积.
精英家教网

查看答案和解析>>