精英家教网 > 初中数学 > 题目详情
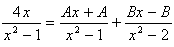
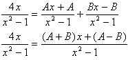
已知 ,求A、B的值。
解:
      
     ∴ 
     ∴
练习册系列答案
相关习题

科目:初中数学 来源:2012-2013学年江苏省南京市高淳区七年级下学期期中质量调研检测数学试卷(带解析) 题型:解答题

已知
求(1)的值;(2)的值.

查看答案和解析>>

科目:初中数学 来源:2012届江西省奉新二中九年级上学期第一次月考数学试卷(带解析) 题型:解答题

先阅读再化简求值:
(1)在化简的过程中。小张和小李的化简结果不一样:小张的化简过程如下:
原式=
小李的化简过程如下:
原式=
请判断谁的化简结果是正确的,谁的化简结果是错误的,并说明理由?
(2)请你利用上面所学的方法,化简求值:已知,求x2+2x-3的值.

查看答案和解析>>

科目:初中数学 来源:2011-2012学年辽宁丹东七中八年级下期期中考试数学试卷(带解析) 题型:解答题

已知,求A、B的值

查看答案和解析>>

科目:初中数学 来源:2013届辽宁丹东七中八年级下期期中考试数学试卷(解析版) 题型:解答题

已知,求A、B的值

 

查看答案和解析>>

科目:初中数学 来源:2011-2012学年福建省福清市一元一次方程单元测试 题型:选择题

已知方程,求代数式3+20()的值.

 

查看答案和解析>>

同步练习册答案