精英家教网 > 初中数学 > 题目详情

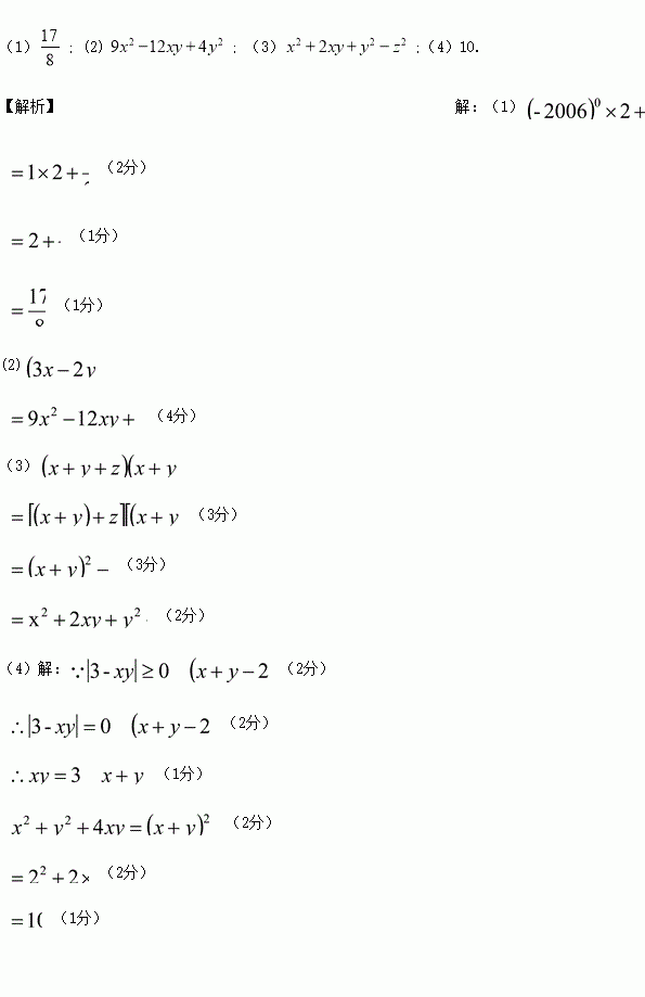
计算:(1)

(2)

(3)

(4),求的值

练习册系列答案
相关习题

科目:初中数学 来源:【全国市级联考】河南省郑州市2017年毕业年级适应性测试(中考二模)数学试卷 题型:填空题

如图,在直角坐标系中,点A(2,0),点B (0,1),过点A的直线l垂直于线段AB,点P是直线l上一动点,过点P作PC⊥x轴,垂足为C,把△ACP沿AP翻折,使点C落在点D处,若以A,D,P为顶点的三角形与△ABP相似,则所有满足此条件的点P的坐标为___________________________.

查看答案和解析>>

科目:初中数学 来源:[全国区级联考]江苏省盐城市亭湖区2017届九年级毕业班下学期第二次质量检测数学试卷 题型:单选题

下列图形中,既是轴对称图形又是中心对称图形的是(  )

A. B. C. D.

查看答案和解析>>

科目:初中数学 来源:【全国省级联考】广东省2017年中考数学模拟试卷一 题型:单选题

三角板ABC中,∠ACB=90°,∠B=30°,AC=2,三角板绕直角顶点C逆时针旋转,当点A的对应点A′ 落在AB边的起始位置上时即停止转动,则B点转过的路径长为( )

A. 2π B. C. D. 3π

查看答案和解析>>

科目:初中数学 来源:【全国省级联考】广东省2017年中考数学模拟试卷一 题型:单选题

钓鱼岛是中国的固有领土,位于中国东海,面积为4400000m2,数据4400000用科学记数法表示为( )

A. 4.4×106 B. 44×105 C. 4×106 D. 0.44×107

查看答案和解析>>

科目:初中数学 来源:甘肃省兰州市2016-2017学年七年级下学期期中考试数学试卷 题型:填空题

若长方形的面积是,长为,则它的宽为 __________.

查看答案和解析>>

科目:初中数学 来源:甘肃省兰州市2016-2017学年七年级下学期期中考试数学试卷 题型:单选题

已知,则( )

A. 6 B. 7 C. 8 D. 9

查看答案和解析>>

科目:初中数学 来源:【全国区级联考】浙江省杭州市萧山区2017年数学一模考试卷 题型:填空题

已知△ABC中,AB=AC,AB的垂直平分线交AB于点D,交直线AC于点E.若∠EBC=42°,则∠BAC的度数为_________

查看答案和解析>>

科目:初中数学 来源:【全国区级联考】四川省遂宁市市城区2017届九年级上学期教学水平监测数学试卷 题型:填空题

如图,电灯P在横杆AB的正上方,AB在灯光下的影子为CD,AB∥CD,AB=2m,CD=6m,横杆AB与CD的距离是3m,则P到AB的距离是 m.

查看答案和解析>>

同步练习册答案