精英家教网 > 初中数学 > 题目详情

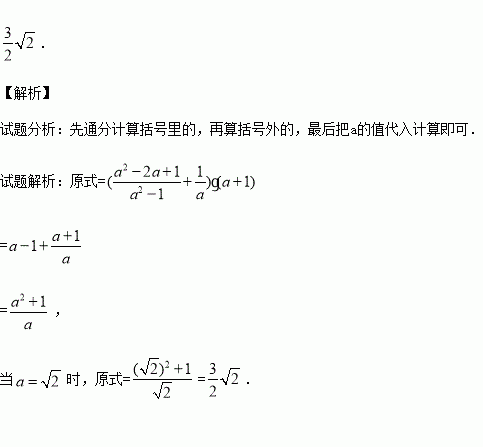
先化简,再求值:,其中

练习册系列答案
相关习题

科目:初中数学 来源:2016届山东省枣庄市中考仿真演练数学试卷(解析版) 题型:选择题

如图,∠1=50°,如果AB∥DE,那么∠D=( )

A.40° B.50° C.130° D.140°

查看答案和解析>>

科目:初中数学 来源:2016届山东省泰安市泰山区中考模拟数学试卷(解析版) 题型:填空题

如图,在平面直角坐标系中,一动点从原点O出发,按向上,向右,向下,向右的方向不断地移动,每次移动一个单位,得到点A1(0,1),A2(1,1),A3(1,0),A4(2,0),…那么点A4n+1(n为自然数)的坐标为 (用n表示).

查看答案和解析>>

科目:初中数学 来源:2016届山东省泰安市泰山区中考模拟数学试卷(解析版) 题型:选择题

函数y=与y=-kx2+k(k≠0)在同一直角坐标系中的图象可能是( )

查看答案和解析>>

科目:初中数学 来源:2016届山东省济宁市邹城市中考一模数学试卷(解析版) 题型:解答题

如图,在直角坐标系中,已知直线y=-x+4与y轴交于A点,与x轴交于B点,C点的坐标为(-2,0).

(1)求证:直线AB⊥AC;

(2)求经过A,B,C三点的抛物线l的解析式和对称轴;

(3)在直线AB上方的抛物线l上,是否存在一点P,使直线AB平分∠PBC?若存在,请求出P点的坐标;若不存在,请说明理由.

查看答案和解析>>

科目:初中数学 来源:2016届山东省济宁市邹城市中考一模数学试卷(解析版) 题型:填空题

在函数y=中,自变量x的取值范围是

查看答案和解析>>

科目:初中数学 来源:2016届山东省济宁市邹城市中考一模数学试卷(解析版) 题型:选择题

若点A(a-2,3)和点B(-1,b+5)关于y轴对称,则点C(a,b)在( )

A.第一象限 B.第二象限 C.第三象限 D.第四象限

查看答案和解析>>

科目:初中数学 来源:2016届山东省滨州市中考一模数学试卷(解析版) 题型:选择题

已知二次函数y=x2-4x+a,下列说法错误的是( )

A.当x<1时,y随x的增大而减小

B.若图象与x轴有交点,则a≤4

C.当a=3时,不等式x2-4x+a>0的解集是1<x<3

D.若将图象向上平移1个单位,再向左平移3个单位后过点(1,-2),则a=-3

查看答案和解析>>

科目:初中数学 来源:2016届山东省德州市德城区中考二模数学试卷(解析版) 题型:填空题

现有一个圆心角为90°,半径为4cm的扇形纸片,用它恰好围成一个圆锥的侧面(接缝忽略不计).该圆锥底面圆的半径为

查看答案和解析>>

同步练习册答案