精英家教网 > 初中数学 > 题目详情

解答题.

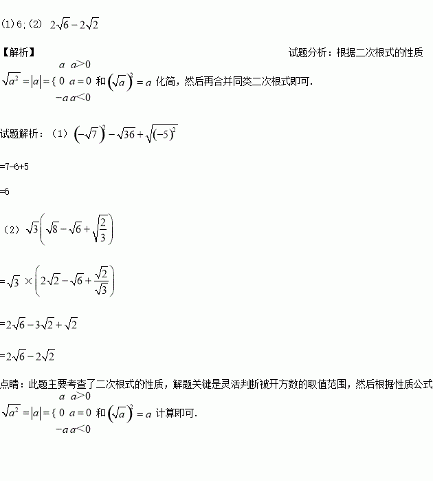
(1) (2)

练习册系列答案
相关习题

科目:初中数学 来源:江苏省南通市2016-2017学年八年级下学期期中考试数学试卷 题型:填空题

在函数y=中,自变量x的取值范围是______.

查看答案和解析>>

科目:初中数学 来源:2016-2017学年贵州省遵义市第二学期八年级半期模拟考试数学试卷(解析版) 题型:解答题

如图,四边形ABCD是菱形,AC=8 , BD=6 ,DE⊥AB于E .

求(1)菱形ABCD的周长

(2)求DH的长.

查看答案和解析>>

科目:初中数学 来源:2016-2017学年贵州省遵义市第二学期八年级半期模拟考试数学试卷(解析版) 题型:单选题

以下各组线段为边长能组成直角三角形的是( )

A. 4、5、6 B. 2、、4 C. 11、12、13 D. 5,12 ,13

查看答案和解析>>

科目:初中数学 来源:2016-2017学年浙江省桐乡市现代片区八年级3月月考数学试卷(解析版) 题型:解答题

如图,在△ABC中, ,AC=16,AB=20,点P,Q同时由A,C两点出发,分别沿AC,CB方向移动,他们的速度都是1 ,①经过几秒,P,Q相距?②并求此时△PCQ的面积。

查看答案和解析>>

科目:初中数学 来源:2016-2017学年浙江省桐乡市现代片区八年级3月月考数学试卷(解析版) 题型:填空题

把一元二次方程化简为一般形式是______________

查看答案和解析>>

科目:初中数学 来源:2016-2017学年浙江省桐乡市现代片区八年级3月月考数学试卷(解析版) 题型:单选题

下列式子中,计算正确的是( )

A. B. (

C. D.

查看答案和解析>>

科目:初中数学 来源:2016-2017学年福建省仙游县郊尾、枫亭五校教研小片区八年级下学期第一次月考数学试卷(解析版) 题型:填空题

观察下列各式:①,②,……请用含n(n≥1)的式子写出你猜想的规律:_______________________________.

查看答案和解析>>

科目:初中数学 来源:2017届山东省安丘市九年级中考模拟考试数学试卷(解析版) 题型:解答题

如图,一枚运载火箭从地面O处发射,当火箭到达A点时,从地面C处的雷达站测得AC的距离是6km,仰角是43°,1s后,火箭到达B点,此时测得仰角为45.5°,这枚火箭从点A到点B的平均速度是多少?(结果精确到0.01)

查看答案和解析>>

同步练习册答案