精英家教网 > 初中数学 > 题目详情
如图,菱形OABC中,∠A =120°,OA =1,将菱形OABC绕点0按顺时针旋转90°,则图中由围成的阴影部分的面积是(    ).
练习册系列答案
相关习题

科目:初中数学 来源: 题型:

精英家教网如图,菱形OABC中,∠A=120°,OA=1,将菱形OABC绕点O按顺时针方向旋转90°,则图中由弧BB′,B′A′,弧A′C,CB围成的阴影部分的面积是
 
.(结果保留根号)

查看答案和解析>>

科目:初中数学 来源: 题型:

精英家教网如图,菱形OABC中,∠A=120°,OA=2,将菱形OABC绕点O顺时针旋转90°到OA′B′C′,则图中由弧BB′,B′A′,弧A′C,CB围成的阴影部分的面积是
 

查看答案和解析>>

科目:初中数学 来源: 题型:

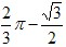
(2011•河东区二模)如图,菱形OABC中,∠A=120°,OA=1,将菱形OABC绕点O按顺时针方向旋转90°,则图中阴影部分的面积是
2
3
π-
3
2
2
3
π-
3
2

查看答案和解析>>

科目:初中数学 来源: 题型:

(2013•滨湖区一模)如图,菱形OABC中,点A在x轴上,顶点C的坐标为(1,
3
),动点D、E分别在射线OC、OB上,则CE+DE+DB的最小值是
4
4

查看答案和解析>>

科目:初中数学 来源:2008年全国中考数学试题汇编《三角形》(09)(解析版) 题型:填空题

(2008•宁波)如图,菱形OABC中,∠A=120°,OA=1,将菱形OABC绕点O按顺时针方向旋转90°,则图中由弧BB′,B′A′,弧A′C,CB围成的阴影部分的面积是    .(结果保留根号)

查看答案和解析>>

同步练习册答案