精英家教网 > 初中数学 > 题目详情

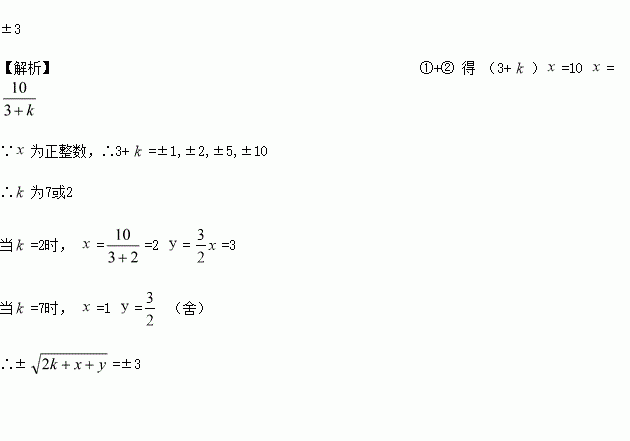
k为正整数,已知关于x,y的二元一次方程组 有整数解,求2k+x+y的平方根。

练习册系列答案
相关习题

科目:初中数学 来源:江苏省2017届九年级5月学情了解(二模)数学试卷 题型:解答题

小丽和小华想利用摸球游戏决定谁去参加书法比赛,游戏规则是:在一个不透明的袋子里装有除数字外完全相同的4个小球,上面分别标有数字2,3,4,5.一人先从袋中随机摸出一个小球,另一人再从袋中剩下的3个小球中随机摸出一个小球.若摸出的两个小球上的数字和为偶数,则小丽去参赛;否则小华去参赛.

(1)用列表法或画树状图法,求小丽参赛的概率.

(2)你认为这个游戏公平吗?请说明理由.

查看答案和解析>>

科目:初中数学 来源:【全国校级联考】浙江省嘉兴市十校2017届九年级5月联合模拟数学试卷 题型:单选题

如图是某个几何体的三视图,该几何体是(  )

A. 长方体 B. 正方体 C. 圆柱 D. 三棱柱

查看答案和解析>>

科目:初中数学 来源:【全国区级联考】福建省仙游县第六片区2017届九年级毕业模拟数学试卷 题型:单选题

如果三角形满足一个角是另一个角的3倍,那么我们称这个三角形为“智慧三角形”.下列各组数据中,能作为一个智慧三角形三边长的一组是( )

A. 1,2,3 B. 1,1,

C. 1,1, D. 1,2,

查看答案和解析>>

科目:初中数学 来源:【全国区级联考】福建省仙游县第六片区2017届九年级毕业模拟数学试卷 题型:单选题

下列几何体中,俯视图相同的是( )

A. ①② B. ①③ C. ②③ D. ②④

查看答案和解析>>

科目:初中数学 来源:[中学联盟]四川省南充市第五中学2016-2017学年七年级下学期期中考试数学试卷 题型:解答题

解方程组

(1);(2)

查看答案和解析>>

科目:初中数学 来源:[中学联盟]四川省南充市第五中学2016-2017学年七年级下学期期中考试数学试卷 题型:填空题

要使AB∥CD,必须使_________(写出你认为正确的一个条件即可)。

查看答案和解析>>

科目:初中数学 来源:[中学联盟]重庆市第四十二中学2016-2017学年七年级下学期期中考试数学试卷 题型:解答题

MF⊥NF于F,MF交AB于点E,NF交CD于点G,∠1=140°,∠2=50°,试判断AB和CD的位置关系,并说明理由.

查看答案和解析>>

科目:初中数学 来源:江西省南昌市青山湖区2017届九年级5月月考数学试卷 题型:单选题

关于抛物线,下列说法错误的是( ).

A. 开口向上 B. 当时,经过坐标原点O

C. 不论为何值,都过定点(1,﹣2) D. >0时,对称轴在轴的左侧

查看答案和解析>>

同步练习册答案