精英家教网 > 初中数学 > 题目详情

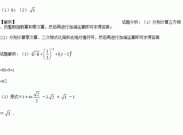
计算:

(1) (2)

练习册系列答案
相关习题

科目:初中数学 来源:2017届广东省高州市九年级上学期期中考试数学试卷(A卷)(解析版) 题型:填空题

正方形ABCD的边长为4,点P在DC边上,且DP=1,点Q是AC上一动点,则DQ+PQ的最小值为______.

查看答案和解析>>

科目:初中数学 来源:2017届山东省菏泽市九年级3月月考数学试卷(解析版) 题型:单选题

a的相反数是( )

A. |a| B. C. -a D.

查看答案和解析>>

科目:初中数学 来源:2016届浙江省温州市九年级下学期第一次适应试考试数学试卷(解析版) 题型:单选题

如图,直线y=2x+4与x, y轴分别交于点A,B,以OB 为底边在y轴右侧作等腰△OBC,将点C向左平移4个单位,使其对应点C′恰好落在直线AB上,则点C的坐标为(  )

A. (5,2) B. (4,2) C. (3,2) D. (﹣1,2)

查看答案和解析>>

科目:初中数学 来源:2016届浙江省温州市九年级下学期第一次适应试考试数学试卷(解析版) 题型:单选题

在﹣4,﹣2,﹣1, 0这四个数中,比﹣3小的数是( )

A. ﹣4 B. ﹣2 C. ﹣1 D. 0

查看答案和解析>>

科目:初中数学 来源:2016-2017学年山东省临沂市蒙阴县八年级下学期期中考试数学试卷(解析版) 题型:填空题

直角三角形斜边长是5,一直角边的长是3,则此直角三角形的面积为___________.

查看答案和解析>>

科目:初中数学 来源:2016-2017学年山东省临沂市蒙阴县八年级下学期期中考试数学试卷(解析版) 题型:单选题

如图,?ABCD的对角线AC,BD交于点O,已知AD=8,BD=12,AC=6,则△OBC的周长为( )

A. 13 B. 17 C. 20 D. 26

查看答案和解析>>

科目:初中数学 来源:2017届湖北省武汉市中考模拟数学试卷(解析版) 题型:解答题

C为线段AB上一点,在线段AB的同侧分别作等边△ACD、△BCE,连接AE、BD相交于F,连接CF.若S△DEF=,则CF=___________

查看答案和解析>>

科目:初中数学 来源:2017届浙江省台州市淑江区九年级上学期期末考试数学试卷(解析版) 题型:单选题

定义:给定关于的函数,对于该函数图象上任意两点,当时,都有为增函数. 根据以上定义,可以判断下面所给的函数中:

; ②; ③; ④.

是增函数的有( )

A. ①② B. ①③ C. ①④ D. ③④

查看答案和解析>>

同步练习册答案