精英家教网 > 初中数学 > 题目详情

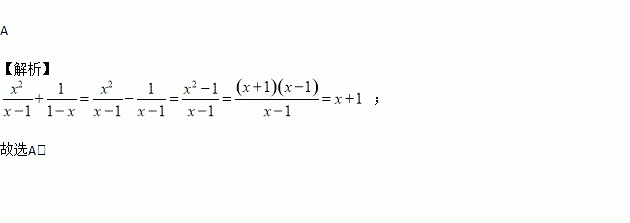
化简的结果是(  )

A. B. C. D.

练习册系列答案
相关习题

科目:初中数学 来源:2017届浙江省嘉兴市十校九年级下学期4月联合模拟数学试卷(解析版) 题型:单选题

下列实数中,比-7小的数为( )

A. 1 B. 0 C. -6 D. -8

查看答案和解析>>

科目:初中数学 来源:2017届安徽合肥市九年级中考模拟数学试卷(解析版) 题型:填空题

若关于x的不等式(a﹣2)x>a﹣2解集为x<1,化简|a﹣3|=_____.

查看答案和解析>>

科目:初中数学 来源:2017届山东省济南市区九年级学业水平考试第二次模拟考试数学试卷(解析版) 题型:解答题

(1)计算:(x+3)(x﹣3)﹣x(x﹣2);(2)解不等式组:

查看答案和解析>>

科目:初中数学 来源:2017届山东省济南市区九年级学业水平考试第二次模拟考试数学试卷(解析版) 题型:单选题

如图正方形ABCD的边长为2,点E、F、G、H分别在AD、AB、BC、CD上的点,且AE=BF=CG=DH,分别将△AEF、△BFG、△CGH、△DHE沿EF、FG、GH、HE翻折,得四边形MNKP,设AE=x,S四边形MNKP=y,则y关于x的函数图像大致为 ( )

A. B. C. D.

查看答案和解析>>

科目:初中数学 来源:2017届山东省济南市区九年级学业水平考试第二次模拟考试数学试卷(解析版) 题型:单选题

下列运算中,正确的是(  )

A. 3a2﹣a2=2 B. (a2)3=a5 C. a3•a6=a9 D. (2a2)2=2a4

查看答案和解析>>

科目:初中数学 来源:2017届江苏省无锡市青阳片九年级下学期期中考试数学试卷(解析版) 题型:解答题

(本小题满分7分)如图,已知二次函数的图象与x轴负半轴交于点A(-1,0),与y轴正半轴交与点B,顶点为P,且OB=3OA,一次函数y=kx+b的图象经过A、B.

(1)求一次函数解析式;

(2)求顶点P的坐标;

(3)平移直线AB使其过点P,如果点M在平移后的直线上,且,求点M坐标;

(4)设抛物线的对称轴交x轴与点E,联结AP交y轴与点D,若点Q、N分别为两线段PE、PD上的动点,联结QD、QN,请直接写出QD+QN的最小值.

查看答案和解析>>

科目:初中数学 来源:2017届江苏省无锡市青阳片九年级下学期期中考试数学试卷(解析版) 题型:单选题

如图,已知菱形OABC的顶点O(0,0),B(-2,-2),若菱形绕点O逆时针旋转,每秒旋转45°,则第60秒时,菱形的对角线交点D的坐标为(  )

A. (1,﹣1) B. (﹣1,﹣1) C. (1,1) D. (﹣1,1)

查看答案和解析>>

科目:初中数学 来源:2016-2017学年江苏省东台市第二教育联盟八年级下学期期中考试数学试卷(解析版) 题型:解答题

△ABC在平面直角坐标系中的位置如图所示,其中每个小正方形的边长为1个单位长度.按要求作图:

①画出△ABC关于原点O的中心对称图形△

②画出将△ABC绕点C顺时针旋转90°得到△

查看答案和解析>>

同步练习册答案