精英家教网 > 初中数学 > 题目详情

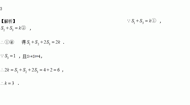
如图,A、B是双曲线上的点,分别过A、B两点作x轴、y轴的垂线段.S1,S2,S3分别表示图中三个矩形的面积,若S3=1,且S1+S2=4,则k=_________.

练习册系列答案
相关习题

科目:初中数学 来源:2017届山东省九年级学业水平模拟试卷(一)数学试卷(解析版) 题型:单选题

不等式组的解集在数轴上可表示为( )

A. B.

C. D.

查看答案和解析>>

科目:初中数学 来源:江苏省扬州市江都区邵樊片2016-2017学年八年级下学期第二次月考数学试卷 题型:填空题

如图,以Rt△ABC的斜边BC为一边在△ABC的同侧作正方形BCEF,设正方形的中心为O,连结A0,如果AB=3,AO=2,那么AC的长等于______.

查看答案和解析>>

科目:初中数学 来源:江苏省扬州市江都区邵樊片2016-2017学年八年级下学期第二次月考数学试卷 题型:单选题

下列调查中,适合用普查的是( )

A. 了解我市百岁以上老人的健康情况 B. 了解某市中学生课外阅读的情况

C. 了解一批炮弹的杀伤半径 D. 了解一批袋装食品是否含有防腐剂

查看答案和解析>>

科目:初中数学 来源:贵州省安顺市毕业第五次模拟考试数学试卷 题型:解答题

先化简:,然后从﹣1≤x≤2中选一个合适的整数作为x的值代入求值.

查看答案和解析>>

科目:初中数学 来源:贵州省安顺市毕业第五次模拟考试数学试卷 题型:单选题

如图,已知经过原点的抛物线y=ax2+bx+c(a≠0)的对称轴是直线x=﹣1,下列结论中:①ab>0,②a+b+c>0,③当﹣2<x<0时,y<0.正确的个数是(  )

A. 0个 B. 1个 C. 2个 D. 3个

查看答案和解析>>

科目:初中数学 来源:贵州省安顺市毕业第五次模拟考试数学试卷 题型:单选题

下列计算正确的是( )

A. B.

C. D.

查看答案和解析>>

科目:初中数学 来源:[首发]河南省周口市招第三次模拟考试数学试卷 题型:单选题

如图,△ABC中,点D,E分别在边AB,AC上,∠AED=∠B,若AD=2,AE=3,CE=1,则BD的长为( )

A. 3 B. 4 C. 5 D. 6

查看答案和解析>>

科目:初中数学 来源:江苏省南京市高淳区2017届九年级第二次模拟考试数学试卷 题型:解答题

图①为平地上一幢建筑物与铁塔图,图②为其示意图.建筑物AB与铁塔CD都垂直于地面,BD=20m,在A点测得D点的俯角为45°,测得C点的仰角为58°.求铁塔CD的高度.(参考数据:sin58°≈0.85,cos58°≈0.53,tan58°≈1.60)

查看答案和解析>>

同步练习册答案