精英家教网 > 初中数学 > 题目详情

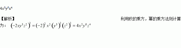
计算:(﹣2xy3z2)2=__________.

练习册系列答案
相关习题

科目:初中数学 来源:2016-2017学年江苏省南通市八年级下学期期中考试数学试卷(解析版) 题型:单选题

如图,线段AB的长为20,点D在AB上,△ACD是边长为8的等边三角形,过点D作与CD垂直的射线DP,过DP上一动点G(不与D重合)作矩形CDGH,记矩形CDGH的对角线交点为O,连接OB,则线段BO的最小值为( )

A. 10 B. 6 C. 8 D. 6

查看答案和解析>>

科目:初中数学 来源:2016-2017学年安徽省芜湖市七年级下学期期中教学质量评估数学试卷(解析版) 题型:填空题

如图,在平面直接坐标系中,有若干个横坐标分别为整数的点,其顺序按图中(1,0)→(2,0)→(2,1)→(1,1)→(1,2)→(2,2)…根据这个规律,则第2016个点的坐标为_______.

查看答案和解析>>

科目:初中数学 来源:2016-2017学年甘肃省张掖市七年级下学期期中考试数学试卷(解析版) 题型:解答题

阅读下列推理过程,在括号中填写理由.

已知:如图,点D、E分别在线段AB、BC上,AC∥DE,DF∥AE交BC于点F,AE平分∠BAC.

求证:DF平分∠BDE

证明:∵AE平分∠BAC(已知)

∴∠1=∠2(   

∵AC∥DE(已知)

∴∠1=∠3(   

故∠2=∠3(   

∵DF∥AE( 

∴∠2=∠5(   

∴∠3=∠4(   

∴DE平分∠BDE(   

查看答案和解析>>

科目:初中数学 来源:2016-2017学年甘肃省张掖市七年级下学期期中考试数学试卷(解析版) 题型:填空题

某书定价25元,如果一次购买20本以上,超过20本的部分打八折,试写出付款金额y(单位:元)与购书数量x(单位:本)之间的函数关系   

查看答案和解析>>

科目:初中数学 来源:2016-2017学年甘肃省张掖市七年级下学期期中考试数学试卷(解析版) 题型:单选题

下列乘法中,能运用平方差公式进行运算的是(  )

A. (﹣x﹣y)(x+y) B. (2x﹣y)(y﹣2x)

C. (1﹣x)(﹣1﹣x) D. (3x+y)(x﹣3y)

查看答案和解析>>

科目:初中数学 来源:[首发]江苏省江苏省大丰市2017届九年级下学期第二次学情调研数学试卷 题型:解答题

已知☉O上两个定点A、B和两个动点C、D,AC与BD交于点E。

(1)如图1,求证EA·EC=EB·ED

(2)如图2,若弧AB=弧BC,AD是☉O的直径,求证;AD·AC=2BD·BC

(3)如图3,若AC上BD,BC=3,求点0到弦AD的距离。

查看答案和解析>>

科目:初中数学 来源:[首发]江苏省江苏省大丰市2017届九年级下学期第二次学情调研数学试卷 题型:填空题

关于x的不等式组的解集为1<x<4,则a的值为__________

查看答案和解析>>

科目:初中数学 来源:2017届北京市九年级5月中考押题卷数学试卷(解析版) 题型:解答题

已知关于x的一元二次方程x2+2x+2k﹣4=0有两个不相等的实数根.

(1)求k的取值范围;

(2)若k为正整数,且该方程的根都是整数,求k的值.

查看答案和解析>>

同步练习册答案