精英家教网 > 初中数学 > 题目详情

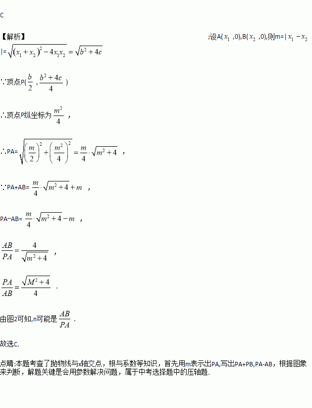
如图1,抛物线y=-x2+bx+c的顶点为P,与x轴交于A,B两点.若A,B两点间的距离为m,n是m的函数,且表示n与m的函数关系的图象大致如图2所示,则n可能为(  )

A. PA+AB B. PA-AB C. D.

练习册系列答案
相关习题

科目:初中数学 来源:北京市2017届九年级4月月考数学试卷 题型:单选题

如图是本地区一种产品30天的销售图象,产品日销售量y(单位:件)与时间t(单位:天)的大致函数关系如图①,图②是一件产品的销售利润z(单位:元)与时间t(单位:天)的函数关系,已知日销售利润=日销售量×一件产品的销售利润,下列结论错误的是( )

A. 日销售量为150件的是第12天与第30天

B. 第10天销售一件产品的利润是15元

C. 从第1天到第20天这段时间内日销售利润将先增加再减少

D. 第18天的日销售利润是1225元

查看答案和解析>>

科目:初中数学 来源:【全国区级联考】广东省深圳市罗湖区2017届九年级下学期第二次调研(二模)数学试卷 题型:填空题

如图,在矩形ABCD中,AD=6,AB=4,点E、G、H、F分别在AB、BC、CD、AD上,且AF=CG=2,BE=DH=1,点P是直线EF、GH之间任意一点,连接PE、PF、PG、PH,则∆PEF和∆PGH的面积和等于________.
 

查看答案和解析>>

科目:初中数学 来源:浙江省台州市2017届九年级下学期第一次月考数学试卷 题型:解答题

2016年下学期,椒江某学校开展了以“责任、感恩”为主题的班队活动,活动结束后,初三(2)班数学兴趣小组提出了5个主要观点并在本班学生中进行了调查(要求每位同学只选自己最认可的一项观点),并制成了如下统计图表,请根据统计图表解决以下问题:

(1)该班有  人,学生选择“进取”观点的有  人,在扇形统计图中,“和谐”观点所在扇形区域的圆心角是  度;

(2)如果该校有500名初三学生,利用样本估计选择“感恩”观点的初三学生约有  人;

(3)如果数学兴趣小组在这5个主要观点中任选两项观点在全校学生中进行调查,求恰好选到“和谐”和“感恩”观点的概率(用树状图或列表法分析解答).

查看答案和解析>>

科目:初中数学 来源:浙江省台州市2017届九年级下学期第一次月考数学试卷 题型:填空题

如图为的正方形网格,图中的线段均为格点线段(线段的端点为格点),则的度数为____________.

查看答案和解析>>

科目:初中数学 来源:浙江省台州市2017届九年级下学期第一次月考数学试卷 题型:单选题

如左图是一个几何体的三视图,那么这几何体的展开图可以是( )

A. B. C. D.

查看答案和解析>>

科目:初中数学 来源:广西南宁市2017级九年级下学期第五次模拟考试数学试卷 题型:解答题

由于受猪流感的影响,4月初某地猪肉价格大幅度下调,下调后每斤猪肉价格是原价格的,原来用60元买到的猪肉下调后可多买2斤.4月中旬,经专家研究证实,猪流感不是由猪传染,很快更名为甲型H1N1流感.因此,猪肉价格4月底开始回升,经过两个月后,猪肉价格上调为每斤14.4元.

(1)求4月初猪肉价格下调后每斤多少元?

(2)求5、6月份猪肉价格的月平均增长率.

查看答案和解析>>

科目:初中数学 来源:广西南宁市2017级九年级下学期第五次模拟考试数学试卷 题型:单选题

点M(-sin60°,cos60°)关于x轴对称的点的坐标是( )

A. () B. () C. () D. ()

查看答案和解析>>

科目:初中数学 来源:【全国校级联考】四川省渠县九校2017届九年级下学期第一次联合模拟数学试卷 题型:解答题

如图,热气球的探测器显示,从热气球A看一栋大楼顶部B的俯角为30°,看这栋大楼底部C的俯角为60°,热气球A的高度为240米,求这栋大楼的高度.

查看答案和解析>>

同步练习册答案