精英家教网 > 初中数学 > 题目详情

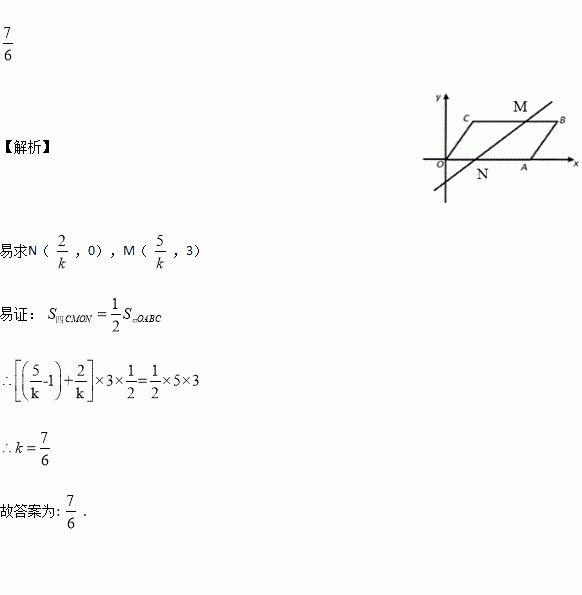
如图,已知□OABC,在平面直角坐标系中,A(5,0),C(1,3),直线y=kx-2与BC、OA分别交于M,N,且将□OABC的面积分成相等的两部分,则k的值是_______

练习册系列答案
相关习题

科目:初中数学 来源:江苏省镇江市润州区2016届九年级中考二模数学试卷 题型:填空题

如图,矩形的长为4,宽为a(a<4),剪去一个边长最大的正方形后剩下一个矩形,同样的方法操作,在剩下的矩形中再剪去一个最大的正方形,若剪去三个正方形后,剩下的恰好是一个正方形,则最后一个正方形的边长是________.

查看答案和解析>>

科目:初中数学 来源:海南海口市 2017年 九年级数学 中考模拟试卷(含答案) 题型:解答题

解不等式组: ,并把解集在数轴上表示出来.

查看答案和解析>>

科目:初中数学 来源:海南海口市 2017年 九年级数学 中考模拟试卷(含答案) 题型:单选题

如图是用七颗相同骰子叠成的造型,骰子的六面分别标有1至6点.从正上方俯视,看到的点数和是( )

A. 16 B. 17 C. 19 D. 52

查看答案和解析>>

科目:初中数学 来源:浙江省丽水市2016-2017学年第二学期期末模拟浙教版八年级数学试卷(含答案) 题型:解答题

计算:(1),(2).

查看答案和解析>>

科目:初中数学 来源:浙江省丽水市2016-2017学年第二学期期末模拟浙教版八年级数学试卷(含答案) 题型:填空题

= ____,=______,=_______.

查看答案和解析>>

科目:初中数学 来源:浙江省丽水市2016-2017学年第二学期期末模拟浙教版八年级数学试卷(含答案) 题型:单选题

下列计算正确的是( )

A. ()2=±6 B. =-7 C. ×=3 D. ÷=3

查看答案和解析>>

科目:初中数学 来源:天津市红桥区2017年九年级数学 中考预测卷(含答案) 题型:单选题

已知抛物线y=ax2+bx+c(b>a>0)与x轴最多有一个交点,现有以下四个结论:

①该抛物线的对称轴在y轴左侧;

②关于x的方程ax2+bx+c+2=0无实数根;

③a﹣b+c≥0;

的最小值为3.

其中,正确结论的个数为( )

A. 1个 B. 2个 C. 3个 D. 4个

查看答案和解析>>

科目:初中数学 来源:2#240600#3#7#9#2017#湖北武汉市 2017年 九年级数学 中考模拟试卷(含答案)#9#1 题型:解答题

图①、②分别是某种型号跑步机的实物图与示意图.已知踏板CD长为1.6m,CD与地面DE的夹角∠CDE为12°,支架AC长为0.8m,∠ACD为80°,求跑步机手柄的一端A的高度h(精确到0.1m).

(参考数据:sin12°=cos78°≈0.21,sin68°=cos22°≈0.93,tan68°≈2.48)

查看答案和解析>>

同步练习册答案