精英家教网 > 初中数学 > 题目详情

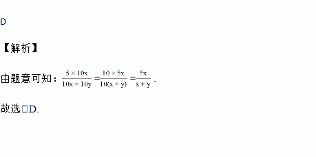
如果把中的x与y都扩大为原来的10倍,那么这个代数式的值( )

A. 扩大为原来的10倍 B. 扩大为原来的5倍

C. 缩小为原来的 D. 不变

练习册系列答案
相关习题

科目:初中数学 来源:2018年秋人教版数学九年级上册同步练习:21.2.4根与系数的关系 题型:单选题

下列方程中,两实数根之和等于2的方程是(  )

A. x2+2x﹣3=0 B. x2﹣2x+3=0 C. 2x2﹣2x﹣3=0 D. 3x2﹣6x+1=0

查看答案和解析>>

科目:初中数学 来源:人教版七年级上册数学试卷-第一章 有理数 数轴 同步测试 题型:填空题

数轴上原点左边的点表示_____数,原点右边的点表示_____数,____点表示零.

查看答案和解析>>

科目:初中数学 来源:广东省潮州市湘桥区2017-2018学年八年级(上)期末数学试卷 题型:解答题

计算:

(1)(﹣a3)2+(﹣a2)3+(﹣a)2×4a3

(2)﹣2x(x2﹣x﹣3)+2x(x﹣1)2.

查看答案和解析>>

科目:初中数学 来源:广东省潮州市湘桥区2017-2018学年八年级(上)期末数学试卷 题型:填空题

直接写出因式分解的结果:8+8x+2x2=_____.

查看答案和解析>>

科目:初中数学 来源:广东省潮州市湘桥区2017-2018学年八年级(上)期末数学试卷 题型:单选题

下列运算正确的是(  )

A. m6÷m2=m3 B. (x+1)2=x2+1 C. (3m2)3=9m6 D. 2a3•a4=2a7

查看答案和解析>>

科目:初中数学 来源:湖北省鄂州市梁子湖区2017-2018学年七年级(上)期末数学试卷 题型:解答题

解方程:

(1)x﹣(3x﹣2)=2(5﹣x)

(2)x+=3+

查看答案和解析>>

科目:初中数学 来源:湖北省鄂州市梁子湖区2017-2018学年七年级(上)期末数学试卷 题型:单选题

已知2016xn+7y与-2017x2m+3y是同类项,则(2m-n)2的值是(   )

A. 16 B. 48 C. -40 D. 5

查看答案和解析>>

科目:初中数学 来源:北师大版八年级上册 第七章 平行线的证明 质量评估 题型:填空题

如果一个三角形的三个外角的度数比为5∶6∶7,那么这个三角形的三个内角的度数比为____,最小内角的度数为____.

查看答案和解析>>

同步练习册答案