精英家教网 > 初中数学 > 题目详情
设抛物线y=的图象与x轴只有一个交点.
(1)求a的值;
(2)求a18+323a-6的值.
【答案】分析:(1)利用函数与一元二次方程的结合点:抛物线与x轴只有一个交点等价于△=0;
(2)先利用了韦达定理,再利用了公式:a2+b2=(a+b)2-2ab,接下来用了立方和公式,提公因式,用来表示.这种各种公式共同应用的题比较常见.
解答:解:(1)∵抛物线y=的图象与x轴只有一个交点,
∴△==0,
解得:a=

(2)∵a=
∴a是方程x2-x-1=0的根,
∴a2-a-1=0,
∵a≠0,
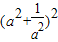
=1,

=+2
=3,

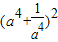
=-2
=7,

=-2
=47,

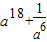
=()(-1)
=7×(47-1)
=322,
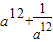
a18+323a-6
=()+
=a6)+
=322a6+
=322(),

=()(-1)
=3×(7-1)
=18.
∴322()=322×18=5796.
点评:此题考查了抛物线与x轴的交点和一元二次方程根与系数的关系(韦达定理),在计算中要灵活运用完全平方公式和立方和公式,计算较复杂,要注意计算能力的培养.
练习册系列答案
相关习题

科目:初中数学 来源: 题型:

如图,抛物线y=ax2+2ax-b与x轴交于A、B两点,与y轴正半轴交于C点,且A(-4,0),OC=2OB.
(1)求出抛物线的解析式;
(2)如图①,作矩形ABDE,使DE过点C,点P是AB边上的一动点,连接PE,作PF⊥PE交BD于点F.设线段PB的长为x,线段BF的长为
1
2
y
.当P点运动时,求y与x的函数关系式并写出自变量x的取值范围,在同一直角坐标系中,该函数的图象与图①的抛物线中y≥0的部分有何关系?
(3)如图②,在图①的抛物线中,点H为其顶点,G为抛物线上一动点(不与H重合),取点N(-1,0),作MN⊥GN且MN=
2
3
GN
(点M、N、G按逆时针顺序),当点G在抛物线上运动时,直线AM、GH是否存在某种位置关系?若存在,写出并证明你的结论;若不存在,请说明理由. 精英家教网

查看答案和解析>>

科目:初中数学 来源: 题型:

(2012•合川区模拟)如图,二次函数y=-x2+bx+c的图象与x轴交于点B(-3,0),与y轴交于点C(0,-3).
(1)求直线BC及二次函数的解析式;
(2)设抛物线的顶点为D,与x轴的另一个交点为A.点P在抛物线的对称轴上,且∠APD=∠ACB,求点P的坐标;
(3)连接CD,求∠OCA与∠OCD两角和的度数.

查看答案和解析>>

科目:初中数学 来源: 题型:解答题

设抛物线y=数学公式的图象与x轴只有一个交点.
(1)求a的值;
(2)求a18+323a-6的值.

查看答案和解析>>

科目:初中数学 来源:新课标九年级数学竞赛培训第12讲:方程与函数(解析版) 题型:解答题

设抛物线y=的图象与x轴只有一个交点.
(1)求a的值;
(2)求a18+323a-6的值.

查看答案和解析>>

同步练习册答案