精英家教网 > 初中数学 > 题目详情

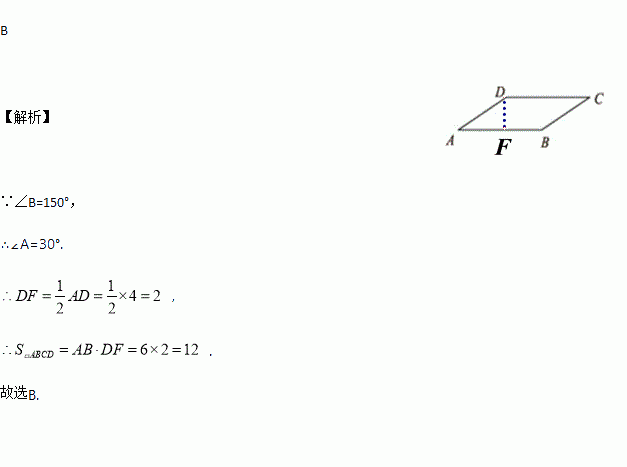
如图,若平行四边形ABCD中,AB=6,AD=4,∠B=150°,则平行四边形ABCD的面积为( )

A. 6 B. 12 C. D. 24

练习册系列答案
相关习题

科目:初中数学 来源:广西南宁市2017届九年级下学期第三次模拟考试数学试卷 题型:解答题

如图,将矩形ABCD沿AF折叠,使点D落在BC边的点E处,过点E作EG∥CD交舡于点G,连接DG.

(1)求证:四边形EFDG是菱形;

(2) 求证:

(3)若AG=6,EG=2,求BE的长.

查看答案和解析>>

科目:初中数学 来源:宁夏银川市阅海分校2017届九年级下学期第一次模拟考试数学试卷 题型:填空题

两点在数轴上,点对应的数为2.若线段的长为5,则点对应的数为_________.

查看答案和解析>>

科目:初中数学 来源:【全国区级联考】湖南省岳阳地区2017年中考二模数学试卷 题型:解答题

计算:

查看答案和解析>>

科目:初中数学 来源:【全国区级联考】湖南省岳阳地区2017年中考二模数学试卷 题型:填空题

使代数式有意义的的取值范围是___________.

查看答案和解析>>

科目:初中数学 来源:内蒙古赤峰市宁城县2017届中考第二次模拟数学试卷 题型:解答题

已知二次函数y=ax2+bx-3经过A(-1,0),B(3,0)两点,

(1)求二次函数解析式及对称轴方程;

(2)连接BC,交对称轴于点E,求E点坐标;

(3)在y轴上是否存在一点M,使ΔBCM为等腰三角形,若存在,直接写出点M的坐标,若不存在,请说明理由;

(4)在第四象限内抛物线上是否存一点H,使得四边形ACHB的面积最大,若存在,求出点H坐标,若不存在,说明理由.

查看答案和解析>>

科目:初中数学 来源:内蒙古赤峰市宁城县2017届中考第二次模拟数学试卷 题型:解答题

为了解某小区某月家庭用水量的情况,从该小区随机抽取部分家庭进行调查,以下是根据调查数据绘制的统计图表的一部分

分组

家庭用水量x/吨

家庭数/户

A

0≤x≤4.0

4

B

4.0<x≤6.5

13

C

6.5<x≤9.0

D

9.0<x≤11.5

E

11.5<x≤14.0

6

F

x>4.0

3

根据以上信息,解答下列问题

(1)家庭用水量在4.0<x≤6.5范围内的家庭有 户,在6.5<x≤9.0范围内的家庭数占被调查家庭数的百分比是 %;

(2)本次调查的家庭数为 户,家庭用水量在9.0<x≤11.5范围内的家庭数占被调查家庭数的百分比是 %;

(3)家庭用水量的中位数落在 组;

(4)若该小区共有200户家庭,请估计该月用水量不超过9.0吨的家庭数.

查看答案和解析>>

科目:初中数学 来源:内蒙古赤峰市宁城县2017届中考第二次模拟数学试卷 题型:单选题

下列图形中,既是轴对称图形,又是中心对称图形的是( )

A. B. C. D.

查看答案和解析>>

科目:初中数学 来源:江苏省盐城市滨海2017届初三毕业班第二次调研测试数学试卷(含答案) 题型:填空题

在函数y=中,自变量x的取值范围是_________

查看答案和解析>>

同步练习册答案