精英家教网 > 初中数学 > 题目详情

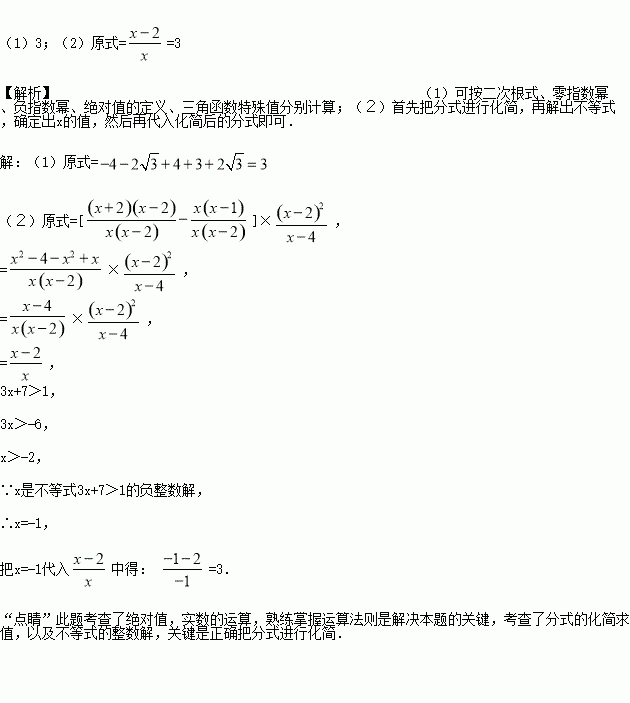
(1)计算:

(2)先化简,再求值 : 其中是不等式的负整数解.

练习册系列答案
相关习题

科目:初中数学 来源:2017届山东省九年级一轮复习验收考试数学试卷(解析版) 题型:填空题

分解因式: n-2mn+n = _____________________.

查看答案和解析>>

科目:初中数学 来源:2016-2017学年浙江省杭州市萧山区临浦片七年级下学期期中考试数学试卷(解析版) 题型:解答题

某工厂承接了一批纸箱加工任务,用如图1所示的长方形和正方形纸板(长方形的宽与正方形的边长相等)加工成如图所示的竖式与横式两种无盖的长方形纸箱.(加工时接缝材料不计)

若该厂购进正方形纸板1000张,长方形纸板2000张.问竖式纸盒,横式纸盒各加工多少个,恰好能将购进的纸板全部用完;

该工厂某一天使用的材料清单上显示,这天一共使用正方形纸板50张,长方形纸板a张,全部加工成上述两种纸盒,且120<a<136,试求在这一天加工两种纸盒时,a的所有可能值.

查看答案和解析>>

科目:初中数学 来源:2016-2017学年浙江省杭州市萧山区临浦片七年级下学期期中考试数学试卷(解析版) 题型:单选题

如图,下列能判定的条件有( )个.

(1) ; (2)

(3) ; (4) .

A. 1 B. 2 C. 3 D. 4

查看答案和解析>>

科目:初中数学 来源:2017届内蒙古鄂尔多斯市毕业模拟考试数学试卷(解析版) 题型:解答题

如图,AC是⊙O的直径,BC是⊙O的弦,点P是⊙O外一点,连接PA,PB,AB,已知∠PBA=∠C.

(1)求证:PB是⊙O的切线;

(2)连接OP,若OP∥BC,且OP=8,⊙O的半径为,求BC的长.

查看答案和解析>>

科目:初中数学 来源:2017届内蒙古鄂尔多斯市毕业模拟考试数学试卷(解析版) 题型:填空题

函数y=的自变量x的取值范围是____.

查看答案和解析>>

科目:初中数学 来源:2017届内蒙古鄂尔多斯市毕业模拟考试数学试卷(解析版) 题型:单选题

下列图形中,是中心对称图形,但不是轴对称图形的是( )

A. B. C. D.

查看答案和解析>>

科目:初中数学 来源:2016-2017学年江苏省扬州市邗江区七年级下学期期中考试数学试卷(解析版) 题型:填空题

已知则x=_____________.

查看答案和解析>>

科目:初中数学 来源:2016-2017学年江苏省扬州市江都区5校联谊八年级下学期期中考试数学试卷(解析版) 题型:选择题

如果把分式中的m和n都扩大3倍,那么分式的值( )

A.不变 B.扩大3倍 C.缩小3倍 D.扩大9倍

查看答案和解析>>

同步练习册答案