精英家教网 > 初中数学 > 题目详情

如图,已知在△ABC中,AB=AC,以AB为直径的半圆O与边BC交于点D,与边AC交于点E,过点D作DF⊥AC于F.

(1)求证:DF为⊙O的切线;(2)若DE=,AB=,求AE的长.

练习册系列答案
相关习题

科目:初中数学 来源:2017届甘肃省白银市中考模拟数学试卷四(解析版) 题型:填空题

如图,在直角坐标系中,已知点A(﹣3,0)B(0,4),对△OAB连续作旋转变换,依次得到△1、△2、△3、△4…,则△2013的直角顶点的坐标为

查看答案和解析>>

科目:初中数学 来源:2017届湖北武汉市中考模拟数学试卷(二)(解析版) 题型:解答题

甲、乙两人周末从同一地点出发去某景点,因乙临时有事,甲坐地铁先出发,甲出发0.2小时后乙开汽车前往.设甲行驶的时间为x(h),甲、乙两人行驶的路程分别为y1(km)与y2(km).如图①是y1与y2关于x的函数图像.

(1)分别求线段OA与线段BC所表示的y1与y2关于x的函数表达式;

(2)当x为多少时,两人相距6 km?

(3)设两人相距S千米,在图②所给的直角坐标系中画出S关于x的函数图像.

查看答案和解析>>

科目:初中数学 来源:2017届湖北武汉市中考模拟数学试卷(二)(解析版) 题型:填空题

如图,有五张背面完全相同的纸质卡片,其正面分别标有数:6、、-2、.将它们背面朝上洗匀后,从中随机抽取一张卡片,则其正面的数比3小的概率是___________

查看答案和解析>>

科目:初中数学 来源:2017届湖北武汉市中考模拟数学试卷(二)(解析版) 题型:单选题

计算(a-2)2的结果是( )

A. a2-4 B. a2-2a+4 C. a2-4a+4 D. a2+4

查看答案和解析>>

科目:初中数学 来源:2016届湖南省中考模拟训练数学试卷(解析版) 题型:解答题

解不等式组

查看答案和解析>>

科目:初中数学 来源:2016届湖南省中考模拟训练数学试卷(解析版) 题型:填空题

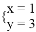
已知是方程x2-ay2-bx=0的两个解,那么ab=______.

查看答案和解析>>

科目:初中数学 来源:[首发]2016-2017学年安徽省阜阳市八年级下学期期中考试数学试卷(解析版) 题型:解答题

如图,小明想测量学校旗杆的高度,他采用如下的方法:先将旗杆上的绳子接长一些,让它垂到地面还多1米,然后将绳子下端拉直,使它刚好接触地面,测得绳子下端离旗杆底部BC=5米,请你帮他计算一下旗杆的高度.

查看答案和解析>>

科目:初中数学 来源:2017届广西钦州市九年级下学期期中考试数学试卷(解析版) 题型:填空题

某户家庭用购电卡购买了2 000度电,若此户家庭平均每天的用电量为x(单位:度),这2 000度电能够使用的天数为y(单位:天),则y与x的函数关系式为y=__________.

查看答案和解析>>

同步练习册答案