精英家教网 > 初中数学 > 题目详情

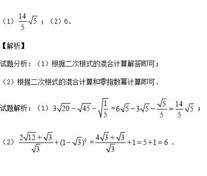
计算:

(1)

(2)

练习册系列答案
相关习题

科目:初中数学 来源:2015-2016学年广东省深圳市七年级上学期期中数学试卷(解析版) 题型:解答题

某城市出租车收费标准如下:3公里以内(含3公里)收费8元,超过3公里的部分每公里收费1.5元.

(1)若行驶x公里(x为整数),试用含x的代数式表示应收的车费;

(2)若某人乘坐出租汽车行驶8公里,则应付车费多少元?

查看答案和解析>>

科目:初中数学 来源:2015-2016学年广东省深圳市八年级上学期期中数学试卷(解析版) 题型:选择题

下列说法正确的是( )

A.是分数

B.1的平方根是1

C.无理数都是无限小数

D.有理数与数轴上的点一一对应

查看答案和解析>>

科目:初中数学 来源:2015-2016学年广东省深圳市七年级上学期期中考试数学试卷(解析版) 题型:选择题

下列各图形经过折叠不能围成一个正方体的是( ).

查看答案和解析>>

科目:初中数学 来源:2015-2016学年安徽省宿州市泗县八年级上学期期中数学试卷(解析版) 题型:解答题

甲、乙两辆汽车分别从A、B两地同时出发,沿同一条公路相向而行.乙车出发2h休息.与甲车相遇.继续行驶.设甲、乙两车与B地的距离y(km)与行驶的时间x(h)之间的函数图象如图所示.

(1)写出甲车与B地的距离y(km)与行驶时间x(h)之间的函数关系式 ;

(2)乙车休息的时间为 ;

(3)写出休息前,乙车与B地的距离y(km)与行驶的时间x(h)之间的函数关系式 ;休息后,乙车与B地的距离y(km)与行驶的时间x(h)之间的函数关系式 ;

(4)求行驶多长时间两车相距100km.

查看答案和解析>>

科目:初中数学 来源:2015-2016学年安徽省宿州市泗县八年级上学期期中数学试卷(解析版) 题型:填空题

如图,围棋棋盘放在某平面直角坐标系内,已知黑棋(甲)的坐标为(-2,2),黑棋(乙)的坐标为(-1,-2),则白棋(甲)的坐标是 .

查看答案和解析>>

科目:初中数学 来源:2015-2016学年安徽省宿州市泗县八年级上学期期中数学试卷(解析版) 题型:选择题

最接近的整数是( )

A.2 B.3 C.4 D.5

查看答案和解析>>

科目:初中数学 来源:2016届山东省实验学校九年级上学期期中模拟数学试卷(解析版) 题型:填空题

若反比例函数y=的图象位于第二、四象限内,则m的取值范围是 .

查看答案和解析>>

科目:初中数学 来源:2016届江苏省实验学校九年级上学期期中考试数学试卷(解析版) 题型:解答题

如图,某大楼的顶部树有一块广告牌CD,小明在山坡的坡脚A处测得广告牌底部D的仰角为60°.沿坡面AB向上走到B处测得广告牌顶部C的仰角为45°,已知山坡AB的坡度,AB=10米,AE=15米.

(1)求点B距水平面AE的高度BH;

(2)求广告牌CD的高度.

(测角器的高度忽略不计,结果精确到0.1米.参考数据:

查看答案和解析>>

同步练习册答案