精英家教网 > 初中数学 > 题目详情

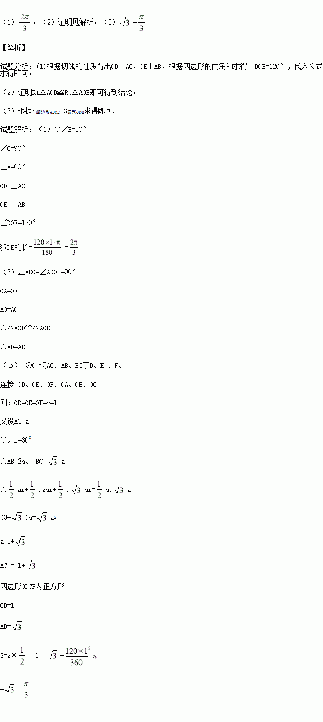
如图,⊙O为R△ABC的内切圆,⊙O的半径r=1,∠B=30°,

(1)劣狐DE的长。

(2)证明AD=AE。

(3)求:劣狐DE、切线AD、AE所围成的面积S

练习册系列答案
相关习题

科目:初中数学 来源:2016届江苏省江阴市马镇九年级下学期第一次月考数学试卷(解析版) 题型:填空题

若把代数式化为的形式,其中为常数,则= .

k-m的最大值是

查看答案和解析>>

科目:初中数学 来源:2016届江苏省淮泗片教育联盟九年级下学期第一次月考数学试卷(解析版) 题型:选择题

下列运算正确的是( )

A. B. b3×b2= b6 C. 4a-9a=-5 D.(ab2)3=a3b6

查看答案和解析>>

科目:初中数学 来源:2016届山东省九年级下学期第一次月考数学试卷(解析版) 题型:选择题

用直尺和圆规作一个以线段为边的菱形,作图痕迹如图所示,能得到四边形是菱形的依据是( )

A.一组邻边相等的四边形是菱形 B.四边相等的四边形是菱形

C.对角线互相垂直的平行四边形是菱形 D.每条对角线平分一组对角的平行四边形是菱形

查看答案和解析>>

科目:初中数学 来源:2016届山东省九年级下学期第一次月考数学试卷(解析版) 题型:选择题

下面的几何体中,主视图为三角形的是( )

查看答案和解析>>

科目:初中数学 来源:2016届江西省九年级下学期第一次模拟测试数学试卷(解析版) 题型:解答题

如图,以O为圆心的两个同心圆中,大圆的弦AB与小圆相切于点C,若大圆半径为10cm,小圆半径为6cm,求弦AB的长

查看答案和解析>>

科目:初中数学 来源:2016届江西省九年级下学期第一次模拟测试数学试卷(解析版) 题型:填空题

圆内接四边形ABCD的内角∠A∶∠B∶∠C=2∶3∶4,则∠D=

查看答案和解析>>

科目:初中数学 来源:2016届四川省巴中市巴州区九年级下学期第一次月考数学试卷(解析版) 题型:解答题

先化简,再求值:,其中

查看答案和解析>>

科目:初中数学 来源:2016届云南省临沧市九年级上学期期末数学试卷(解析版) 题型:选择题

如图,BD为⊙O的直径,∠A=30°,则∠CBD的度数为( )

A.30° B.60° C.80° D.120°

查看答案和解析>>

同步练习册答案