精英家教网 > 初中数学 > 题目详情

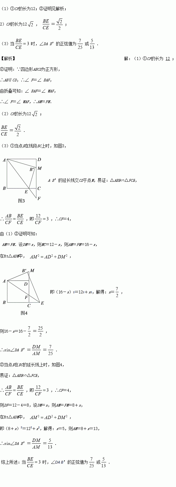
如图,正方形ABCD的边长为12,点E是射线BC上的一个动点,连接AE并延长,交射线DC于点F,将△ABE沿直线AE翻折,点B落在点B'处.

(1)当=1时,如图1,延长A B',交CD于点M,①CF的长为 ;②求证:AM=FM.

(2)当点B'恰好落在对角线AC上时,如图2,此时CF的长为

(3)当=3时,求∠DA B'的正弦值.

练习册系列答案
相关习题

科目:初中数学 来源:江苏省连云港市2017届九年级中考模拟(四)数学试卷 题型:填空题

如图:已知点A、B是反比例函数y=﹣上在第二象限内的分支上的两个点,点C(0,3),且△ABC满足AC=BC,∠ACB=90°,则线段AB的长为__.

查看答案和解析>>

科目:初中数学 来源:江苏省扬州市江都区邵樊片2016-2017学年八年级下学期第二次月考数学试卷 题型:单选题

今年江都区将有超过8000名的考生参加中考,为了解这些考生的数学成绩,从中抽取500名考生的数学成绩进行统计分析,以下说法正确的是( )

A. 这500名考生是总体的一个样本 B. 超过8000名考生是总体

C. 每位考生的数学成绩是个体 D. 500名学生是样本容量

查看答案和解析>>

科目:初中数学 来源:贵州省安顺市毕业第五次模拟考试数学试卷 题型:填空题

因式分【解析】
2x2y-8xy+8y =___________________.

查看答案和解析>>

科目:初中数学 来源:贵州省安顺市毕业第五次模拟考试数学试卷 题型:单选题

如图,下列四个几何体中,它们各自的三视图(主视图、左视图、俯视图)有两个相同,而另一个不同的几何体是( )

A. ①② B. ②③ C. ②④ D. ③④

查看答案和解析>>

科目:初中数学 来源:[首发]河南省周口市招第三次模拟考试数学试卷 题型:解答题

如图,C、D两点在以AB为直径的半圆O上,AD平分∠BAC,AB=20,AD=4,DE⊥AB于E.

(1)求DE的长.

(2)求证:AC=2OE.

查看答案和解析>>

科目:初中数学 来源:[首发]河南省周口市招第三次模拟考试数学试卷 题型:单选题

如图所示,平面直角坐标的原点是等边三角形的中心,A(0,1),把△ABC绕点O顺时针旋转,每秒旋转60°,则第2017秒时,点A的坐标为( )

A. (0,1) B. () C. () D. (

查看答案和解析>>

科目:初中数学 来源:江苏省南通通州区2017届九年级中考二模数学试卷 题型:解答题

一个不透明的口袋中装有四个完全相同的小球,把它们分别标号为1,2,3,4.从袋中随机摸出一只小球,再从剩下的小球中随机摸出一只小球,请用列表法或画树形图的方法,求两次摸出的小球上所标数字之和大于4的概率.

查看答案和解析>>

科目:初中数学 来源:江苏省南京市高淳区2017届九年级第二次模拟考试数学试卷 题型:单选题

如图,⊙O的半径为1,△ABC是⊙O的内接等边三角形,点D、E在圆上,四边形BCDE为矩形,这个矩形的面积是( )

A. 2 B. C. D.

查看答案和解析>>

同步练习册答案