精英家教网 > 初中数学 > 题目详情

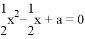
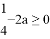
有意义,则x能取的最小整数值是( )

A. 0 B. -2 C. -3 D. -4

练习册系列答案
相关习题

科目:初中数学 来源:2017届江苏省无锡市锡北片九年级下学期期中考试数学试卷(解析版) 题型:单选题

函数y=的自变量x的取值范围是(  )

A. x=1 B. x≠1 C. x≥1 D. x≤1

查看答案和解析>>

科目:初中数学 来源:2017届浙江省杭州市九年级3月教学质量检测(模拟)数学试卷(解析版) 题型:单选题

关于x的二次函数,其中为锐角,则:

① 当为30°时,函数有最小值-;② 函数图象与坐标轴必有三个交点. ③ 当<60°时,函数在x >1时,y随 x的增大而增大;④ 无论锐角怎么变化,函数图象必过定点。其中正确的结论有( )

A. ①③④ B. ①④ C. ②③ D. ①②④

查看答案和解析>>

科目:初中数学 来源:2016-2017学年河北省唐山市路南区八年级下学期期中质量检测数学试卷(解析版) 题型:填空题

若m表示3-的小数部分,则m2的值为___________.(结果可以带根号)

查看答案和解析>>

科目:初中数学 来源:2016-2017学年河北省唐山市路南区八年级下学期期中质量检测数学试卷(解析版) 题型:单选题

如图,正方形ABCD中,AE垂直于BE,且AE=3,BE=4,则阴影部分的面积是( )

A. 16 B. 18 C. 19 D. 21

查看答案和解析>>

科目:初中数学 来源:2016-2017学年河北省唐山市路南区八年级下学期期中质量检测数学试卷(解析版) 题型:单选题

化简的结果正确的是( )

A. 2 B. -2 C. ±2 D. 4

查看答案和解析>>

科目:初中数学 来源:2017届上海市嘉定区初三第二学期质量调研测试数学试卷(解析版) 题型:解答题

先化简,再求值:,其中.

查看答案和解析>>

科目:初中数学 来源:2017届上海市嘉定区初三第二学期质量调研测试数学试卷(解析版) 题型:单选题

在解答“一元二次方程的根的判别式为 ”的过程中,某班同学的作业中出现了下面几种答案,其中正确的答案是 ( )

A. ; B. ; C. ; D.

查看答案和解析>>

科目:初中数学 来源:2016-2017学年广西北海市合浦县七年级下学期期中考试数学试卷(解析版) 题型:单选题

甲、乙两地相距880千米,小轿车从甲地出发2小时后,大客车从乙地出发相向而行,又经过4小时两车相遇.已知小轿车比大客车每小时多行20千米.设大客车每小时行x千米,小轿车每小时行y千米,则可列方程组为(   )

A. B. C. D.

查看答案和解析>>

同步练习册答案