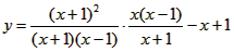
已知:

,试说明不论x在许可范围内取何值,y的值都不变。
解:

=x-x+1=1
∴当x不取0,±1时,y的值等于1不变。
练习册系列答案
相关习题
科目:初中数学
来源:2011年安徽省滁州市天长市实验学校中考数学三模试卷(解析版)
题型:解答题
已知:

,试说明不论x为任何有意义的值,y值均不变.
查看答案和解析>>
科目:初中数学
来源:2011年云南省曲靖市宣威市热水镇一中中考数学模拟试卷(五)(解析版)
题型:解答题
已知:

,试说明不论x为任何有意义的值,y值均不变.
查看答案和解析>>
科目:初中数学
来源:2011年江西省赣州市兴国县九年级全县第一次联考数学试卷(解析版)
题型:解答题
已知:

,试说明不论x为任何有意义的值,y值均不变.
查看答案和解析>>
科目:初中数学
来源:2010年全国中考数学试题汇编《分式》(05)(解析版)
题型:解答题
(2010•娄底)已知:

,试说明不论x为任何有意义的值,y值均不变.
查看答案和解析>>
科目:初中数学
来源:2010年湖南省娄底市中考数学试卷(解析版)
题型:解答题
(2010•娄底)已知:

,试说明不论x为任何有意义的值,y值均不变.
查看答案和解析>>