精英家教网 > 初中数学 > 题目详情
如图所示,AC为⊙O的直径且PA⊥AC,BC是⊙O的一条弦,直线PB交直线AC于点D,
(1)求证:直线PB是⊙O的切线;
(2)求cos∠BCA的值。
解:(1)连接OB、OP,
且∠D=∠D,
∴△BDC∽△PDO,
∴∠DBC=∠DPO,
∴BC∥OP,
∴∠BCO=∠POA,∠CBO=∠BOP,
∵OB=OC,
∴∠OCB=∠CBO,
∴∠BOP=∠POA,
又∵OB=OA,OP=OP,
∴△BOP≌△AOP,
∴∠PBO=∠PAO,
又∵PA⊥AC,
∴∠PBO=90°,
∴直线PB是⊙O的切线;
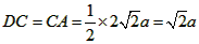
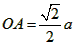
(2)由(1)知∠BCO=∠POA
设PB=a,则BD=2a
又∵PA=PB=a

又∵ BC∥OP




∴cos∠BCA=cos∠POA=
练习册系列答案
相关习题

科目:初中数学 来源: 题型:

精英家教网如图所示,AC为⊙O的直径且PA⊥AC,BC是⊙O的一条弦,直线PB交直线AC于点D,
DB
DP
=
DC
DO
=
2
3

(1)求证:直线PB是⊙O的切线;
(2)求cos∠BCA的值.

查看答案和解析>>

科目:初中数学 来源: 题型:

如图所示,AC为BC的垂线,CD为AB的垂线,DE为BC的垂线,D、E分别在△ABC的边AB和BC上,则下列说法:①△ABC中,AC是BC边上的高;②△BCD中,DE是BC边上的高;③△DBE中,DE是BE边上的高;④△ACD中,AD是CD边上的高,其中正确的是
①②③④
①②③④

查看答案和解析>>

科目:初中数学 来源:2011年初中毕业升学考试(广西桂林卷)数学 题型:解答题

如图所示,AC为⊙O的直径且PA⊥AC,BC是⊙O的一条弦,直线PB交直线AC于点D,
(1)求证:直线PB是⊙O的切线;
(2)求cos∠BCA的值.

查看答案和解析>>

科目:初中数学 来源:2012届广西桂平市中考模拟训练题(一)数学试卷(带解析) 题型:解答题

如图所示,AC为⊙O的直径且PA⊥AC,BC是⊙O的一条弦,直线PB交直线AC于点D,.

(1)求证:直线PB是⊙O的切线;
(2)求cos∠BCA的值.

查看答案和解析>>

科目:初中数学 来源:2011-2012学年广西桂平市中考模拟训练题(一)数学试卷(解析版) 题型:解答题

如图所示,AC为⊙O的直径且PA⊥AC,BC是⊙O的一条弦,直线PB交直线AC于点D,.

 

 

(1)求证:直线PB是⊙O的切线;

(2)求cos∠BCA的值.

 

查看答案和解析>>

同步练习册答案