精英家教网 > 初中数学 > 题目详情
如图1,已知梯形OABC,抛物线分别过点O(0,0)、A(2,0)、B(6,3)。
(1)直接写出抛物线的对称轴、解析式及顶点M的坐标;
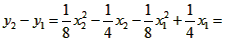
(2)将图1中梯形OABC的上下底边所在的直线OA、CB以相同的速度同时向上平移,分别交抛物线于点O1、A1、C1、B1,得到如图2的梯形O1A1B1C1,设梯形O1A1B1C1的面积为S,A1、B1的坐标分别为(x1,y1)、(x2,y2),用含S的代数式表示,并求出当S=36时点A1的坐标;
(3)在图1中,设点D坐标为(1,3),动点P从点B出发,以每秒1个单位长度的速度沿着线段BC运动,动点Q从点D出发,以与点P相同的速度沿着线段DM运动,P、Q两点同时出发,当点Q到达点M时,P、Q两点同时停止运动,设P、Q两点的运动时间为t,是否存在某一时刻t,使得直线PQ、直线AB、x轴围成的三角形与直线PQ、直线AB、抛物线的对称轴围成的三角形相似?若存在,请求出t的值;若不存在,请说明理由。
解:(1)对称轴:直线x=1;
解析式:
顶点坐标:M(1,);
(2)由题意得
3,
得:①,

得:②,
把②代入①并整理得:(S>0),
当s=36时,,解得:
代入抛物线解析式得
∴点A1(6,3);
(3)存在,
易知直线AB的解析式为
可得直线AB与对称轴的交点E的坐标为
∴BD=5,DE=,DP=5-t,DQ=t,
当PQ∥AB时,

下面分两种情况讨论:设直线PQ与直线AB、x轴的交点分别为点F、G,
①当0<时,如图1-1,
∵△FQE∽△FAG,
∴∠FGA=∠FEQ,
∴∠DPQ=∠DEB,
易得△DPQ∽△DEB,


(舍去);
②当时,如图1-2,
∵△FQE∽△FAG,
∴∠FAG=∠FQE,
∵∠DQP=∠FQE,∠FAG=∠EBD,
∴∠DQP=∠DBE易得△DPQ∽△DEB,



秒时,使直线PQ、直线AB、x轴围成的三角形
与直线PQ、直线|AB、抛物线的对称轴围成的三角形相似。

练习册系列答案
相关习题

科目:初中数学 来源: 题型:

如图1,已知梯形OABC,抛物线分别过点O(0,0)、A(2,0)、B(6,3).
(1)直接写出抛物线的对称轴、解析式及顶点M的坐标;
(2)将图1中梯形OABC的上下底边所在的直线OA、CB以相同的速度同时向上平移,分别交抛物线于点O1、A1、C1、B1,得到如图2的梯形O1A1B1C1.设梯形O1A1B1C1的面积为S,A1、B1的坐标分别为(x1,y1)、(x2,y2).用含S的代数式表示x2-x1,并求出当S=36时点A1的坐标;
(3)在图1中,设点D坐标为(1,3),动点P从点B出发,以每秒1个单位长度的速度沿着线段BC运动,动点Q从点D出发,以与点P相同的速度沿着线段DM运动.P、Q两点同时出发,当点Q到达点M时,P、Q两点同时停止运动.设P、Q两点的运动时间为t,是否存在某一时刻t,使得直线PQ、直线AB、x轴围成的三角形与直线PQ、直线AB、抛物线的对称轴围成的三角形相似?若存在,请求出t的值;若不存在,请说明理由.
精英家教网

查看答案和解析>>

科目:初中数学 来源: 题型:

如图1,已知梯形OABC,抛物线分别过点O(0,0)、A(2,0)、B(6,3).

(1)直接写出抛物线的对称轴、解析式及顶点M的坐标;

(2)将图1中梯形OABC的上下底边所在的直线OACB以相同的速度同时向上平移,分别交抛物线于点O1、A1、C1、B1,得到如图2的梯形O1A1B1C1.设梯形O1A1B1C1的面积为SA1 B1的坐标分别为 (x1y1)、(x2y2).用含S的代数式表示,并求出当S=36时点A1的坐标;

(3)在图1中,设点D坐标为(1,3),动点P从点B出发,以每秒1个单位长度的速度沿着线段BC运动,动点Q从点D出发,以与点P相同的速度沿着线段DM运动.PQ两点同时出发,当点Q到达点M时,PQ两点同时停止运动.设P、Q两点的运动时间为t,是否存在某一时刻t,使得直线PQ、直线AB轴围成的三角形与直线PQ、直线AB、抛物线的对称轴围成的三角形相似?若存在,请求出t的值;若不存在,请说明理由.

                                                    

                                                    

查看答案和解析>>

科目:初中数学 来源: 题型:

如图1,已知梯形OABC,抛物线分别过点O(0,0)、A(2,0)、B(6,3).

(1)直接写出抛物线的对称轴、解析式及顶点M的坐标;

(2)将图1中梯形OABC的上下底边所在的直线OACB以相同的速度同时向上平移,分别交抛物线于点O1A1C1B1,得到如图2的梯形O1A1B1C1.设梯形O1A1B1C1的面积为SA1 B1的坐标分别为 (x1y1)、(x2y2).用含S的代数式表示x2x1,并求出当S=36时点A1的坐标;

(3)在图1中,设点D的坐标为(1,3),动点P从点B出发,以每秒1个单位长度的速度沿着线段BC运动,动点Q从点D出发,以与点P相同的速度沿着线段DM运动.PQ两点同时出发,当点Q到达点M时,PQ两点同时停止运动.设PQ两点的运动时间为t,是否存在某一时刻t,使得直线PQ、直线AB、x轴围成的三角形与直线PQ、直线AB、抛物线的对称轴围成的三角形相似?若存在,请求出t的值;若不存在,请说明理由.

   

查看答案和解析>>

科目:初中数学 来源:第2章《二次函数》中考题集(25):2.7 最大面积是多少(解析版) 题型:解答题

如图1,已知梯形OABC,抛物线分别过点O(0,0)、A(2,0)、B(6,3).
(1)直接写出抛物线的对称轴、解析式及顶点M的坐标;
(2)将图1中梯形OABC的上下底边所在的直线OA、CB以相同的速度同时向上平移,分别交抛物线于点O1、A1、C1、B1,得到如图2的梯形O1A1B1C1.设梯形O1A1B1C1的面积为S,A1、B1的坐标分别为(x1,y1)、(x2,y2).用含S的代数式表示x2-x1,并求出当S=36时点A1的坐标;
(3)在图1中,设点D坐标为(1,3),动点P从点B出发,以每秒1个单位长度的速度沿着线段BC运动,动点Q从点D出发,以与点P相同的速度沿着线段DM运动.P、Q两点同时出发,当点Q到达点M时,P、Q两点同时停止运动.设P、Q两点的运动时间为t,是否存在某一时刻t,使得直线PQ、直线AB、x轴围成的三角形与直线PQ、直线AB、抛物线的对称轴围成的三角形相似?若存在,请求出t的值;若不存在,请说明理由.

查看答案和解析>>

科目:初中数学 来源:2011年湖北省天门市麻洋中学中考数学模拟试卷(三)(解析版) 题型:解答题

如图1,已知梯形OABC,抛物线分别过点O(0,0)、A(2,0)、B(6,3).
(1)直接写出抛物线的对称轴、解析式及顶点M的坐标;
(2)将图1中梯形OABC的上下底边所在的直线OA、CB以相同的速度同时向上平移,分别交抛物线于点O1、A1、C1、B1,得到如图2的梯形O1A1B1C1.设梯形O1A1B1C1的面积为S,A1、B1的坐标分别为(x1,y1)、(x2,y2).用含S的代数式表示x2-x1,并求出当S=36时点A1的坐标;
(3)在图1中,设点D坐标为(1,3),动点P从点B出发,以每秒1个单位长度的速度沿着线段BC运动,动点Q从点D出发,以与点P相同的速度沿着线段DM运动.P、Q两点同时出发,当点Q到达点M时,P、Q两点同时停止运动.设P、Q两点的运动时间为t,是否存在某一时刻t,使得直线PQ、直线AB、x轴围成的三角形与直线PQ、直线AB、抛物线的对称轴围成的三角形相似?若存在,请求出t的值;若不存在,请说明理由.

查看答案和解析>>

同步练习册答案