精英家教网 > 初中数学 > 题目详情

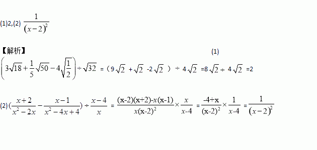
计算:

练习册系列答案
相关习题

科目:初中数学 来源:2017届江西省抚州市九年级下学期第一次月考数学试卷(解析版) 题型:填空题

正方形ABCD与正方形OEFG中,点D和点F的坐标分别为(﹣3,2)和(1,﹣1),则这两个正方形的位似中心的坐标为________.

查看答案和解析>>

科目:初中数学 来源:2016-2017学年山东省滨州市邹平双语学校一二区七年级上学期期中考试数学试卷(解析版) 题型:解答题

将下列各数填在相应的集合里。

-3.8, -20%, 4.3, -∣-∣, , 0, -(-),

整数集合:{ … };

分数集合:{ … };

正数集合:{ … };

负数集合:{ … }.

查看答案和解析>>

科目:初中数学 来源:2016-2017学年山东省滨州市邹平双语学校一二区七年级上学期期中考试数学试卷(解析版) 题型:单选题

已知数a,b在数轴上对应的点在原点两侧,并且到原点的距离相等,数x,y互为倒数,那么-2xy的值等于( )

A. 2 B. ﹣2 C. 1 D. ﹣1

查看答案和解析>>

科目:初中数学 来源:2016-2017学年广东省汕头市八年级下学期第一次月考数学试卷(解析版) 题型:解答题

如图,在Rt△ABC中,∠ACB=90°,点D,E分别是边AB,AC的中点,延长BC到点F,使CF=BC.若AB=12,求EF的长.

查看答案和解析>>

科目:初中数学 来源:2016-2017学年广东省汕头市八年级下学期第一次月考数学试卷(解析版) 题型:填空题

命题“两条直线相交,只有一个交点”的逆命题是_______________,它是____命题(真或假).

查看答案和解析>>

科目:初中数学 来源:2016-2017学年广东省汕头市八年级下学期第一次月考数学试卷(解析版) 题型:单选题

边长为2的等边三角形的面积是(  )

A. B. C. 3 D. 6

查看答案和解析>>

科目:初中数学 来源:2016-2017学年广东省高州市七年级上学期期中考试数学(A卷)(解析版) 题型:填空题

如果单项式是同类项,那么__________

查看答案和解析>>

科目:初中数学 来源:2017届四川省简阳市石板学区九年级下学期第一次中考模拟数学试卷(解析版) 题型:解答题

制作一种产品,需先将材料加热达到60℃后,再进行操作.设该材料温度为y(℃),从加热开始计算的时间为x(分钟).据了解,设该材料加热时,温度y与时间x成一次函数关系;停止加热进行操作时,温度y与时间x成反比例关系(如图).已知该材料在操作加工前的温度为15℃,加热5分钟后温度达到60℃.

(1)、求出将材料加热时,y与x的函数关系式;

(2)、求出停止加热进行操作时,y与x的函数关系式;

(3)、根据工艺要求,当材料的温度低于15℃时,须停止操作,那么操作时间是多少?

查看答案和解析>>

同步练习册答案