精英家教网 > 初中数学 > 题目详情

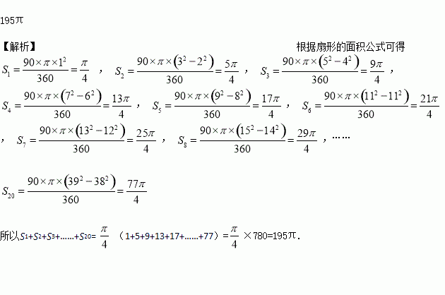
手机上常见的wifi标志如图所示,它由若干条圆心相同的圆弧组成,其圆心角为90°,最小的扇形半径为1.若每两个相邻圆弧的半径之差为1,由里往外的阴影部分的面积依次记为S1、S2、S3……,则S1+S2+S3+……+S20= ___________________.

练习册系列答案
相关习题

科目:初中数学 来源:2016-2017学年江苏省江阴市要塞片七年级下学期期中考试数学试卷(解析版) 题型:解答题

已知:如图,直线于点,△是直角三角形,且∠=90°,斜边交直线于点平分∠,∠的平分线交的延长线于点,∠=36°.

(1)如图1,当时,求∠的度数.

(2)如图2,当△点旋转一定的角度(即不平行),其他条件不变,问∠的度数是否发生改变?请说明理由.

查看答案和解析>>

科目:初中数学 来源:2017届下学期第一次中考模拟考试(4月)河南省信阳市九年级数学试卷(解析版) 题型:单选题

如图,在平面直角坐标系中,D为坐标原点,点A的坐标为(1, ).将线段OA绕原点0逆时针旋转30°,得到线段OB,则点B的坐标是( )

A. (0,2) B. (2,0) C. (1,-) D. (-1,

查看答案和解析>>

科目:初中数学 来源:2017届山东省九年级一轮复习验收检测数学试卷(解析版) 题型:单选题

如下图是某几何体的三视图,则与该三视图相对应的几何体是(  )

A. B. C. D.

查看答案和解析>>

科目:初中数学 来源:2017届山东省济南市槐荫区九年级第一次模拟考试数学试卷(解析版) 题型:解答题

某校数学综合实践小组的同学以“绿色出行”为主题,把某小区的居民对共享单车的了解和使用情况进行了问卷调查.在这次调查中,发现有20人对于共享单车不了解,使用共享单车的居民每天骑行路程不超过8千米,并将调查结果制作成统计图,如下图所示:

(1)本次调查人数共 人,使用过共享单车的有 人;

(2)请将条形统计图补充完整;

(3)如果这个小区大约有3000名居民,请估算出每天的骑行路程在2~4千米的有多少人?

查看答案和解析>>

科目:初中数学 来源:2017届山东省济南市槐荫区九年级第一次模拟考试数学试卷(解析版) 题型:单选题

如图,△ABC和△DEF的各顶点分别在双曲线在第一象限的图象上,若∠C=∠F=90°,AC∥DF∥x轴,BC∥EF∥y轴,则S△ABC-S△DEF=( )

A. B. C. D.

查看答案和解析>>

科目:初中数学 来源:2017届山东省济南市槐荫区九年级第一次模拟考试数学试卷(解析版) 题型:单选题

下列等式成立的是( )

A. B. C. D.

查看答案和解析>>

科目:初中数学 来源:2016-2017学年江苏省扬州市江都区邵樊片八年级下学期期中考试数学试卷(解析版) 题型:解答题

计算:

(1)

(2).

查看答案和解析>>

科目:初中数学 来源:2016-2017学年江苏省盐城市盐都区八年级下学期期中考试数学试卷(解析版) 题型:单选题

下列调查中,最适宜采用普查方式的是( )

A. 对我国初中学生视力状况的调查

B. 对量子科学通信卫星上某种零部件的调查

C. 对一批节能灯管使用寿命的调查

D. 对“最强大脑”节目收视率的调查

查看答案和解析>>

同步练习册答案