精英家教网 > 初中数学 > 题目详情

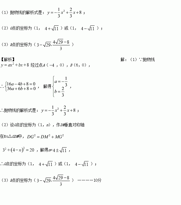
已知△ABC在平面直角坐标系中的位置如图1所示,A点坐标为(,0),B点坐标为(6,0),点D为AC的中点,点E是抛物线在第二象限图像上一动点,经过点A、B、C三点的抛物线的解析式为

(1)求抛物线的解析式;

(2)如图1,连接DE,把点A沿直线DE翻折,点A的对称点为点G,当点G恰好落在抛物线的对称轴上时,求G点的坐标;

(3)图2中,点E运动时,当点G恰好落在BC上时,求E点的坐标.

练习册系列答案
相关习题

科目:初中数学 来源:四川省成都市双流区2017年中考适应性训练数学试卷 题型:解答题

小丽和小明玩数学游戏,小丽取出一个不透明的口袋,口袋中装有四张分别标有数字2,3,4,6的卡片,卡片除数字外其余都相同,小丽要求小明从中随机抽取一张卡片并记录下卡片上的数字,将卡片放回洗匀,再次从中随机抽取一张卡片,同样记录下卡片上的数字.

(1)请用画树状图或列表的方法表示小明两次抽取卡片的所有可能出现的结果;

(2)求小明抽到的两张卡片上的数都能被2整除的概率.

查看答案和解析>>

科目:初中数学 来源:[首发]江苏省灌云县西片2016-2017学年七年级下学期第二次月考(5月)数学试卷 题型:单选题

若|x+y﹣5|与(x﹣y﹣1)2互为相反数,则x2﹣y2的值为(  )

A. ﹣5 B. 5 C. 13 D. 15

查看答案和解析>>

科目:初中数学 来源:[中学联盟]甘肃省武威市民勤实验中学2016-2017学年七年级下学期期中考试数学试卷 题型:填空题

若|3﹣a|+=0,则a+b=_____________.

查看答案和解析>>

科目:初中数学 来源:[中学联盟]甘肃省武威市民勤实验中学2016-2017学年七年级下学期期中考试数学试卷 题型:单选题

下列运算正确的是(  )

A. B. (﹣3)3=27 C. =2 D. =3

查看答案和解析>>

科目:初中数学 来源:江苏省镇江丹阳市2017届中考二模数学试卷 题型:解答题

自4月以来,我市推出了一项“共享单车”的便民举措,为人们的城市生活出行带来了方便.图(1)所示的是某款单车的实物图.图(2)是这辆单车的部分几何示意图,其中车支架BC的长为20cm,且∠CBA=75°,∠CAB=30°.求车架档AB的长.

(参考数据:sin75°,cos75°,tan75°

查看答案和解析>>

科目:初中数学 来源:江苏省镇江丹阳市2017届中考二模数学试卷 题型:单选题

如图,已知Rt△ABC中,∠ACB=90°,AC=6,BC=4,将△ABC绕直角顶点C顺时针旋转90°得到△DEC.若点F是DE的中点,连接AF,则AF=( )

A. 4 B. 5 C. D. 6

查看答案和解析>>

科目:初中数学 来源:【全国百强校】山东省东营市2017届九年级5月模拟数学试卷 题型:填空题

如图,在平面直角坐标系中,菱形ABCD在第一象限内,边BC与轴平行,A,B两点的纵坐标分别为3,1,反比例函数的图像经过A,B两点,则菱形的ABCD的面积为_______

查看答案和解析>>

科目:初中数学 来源:[中学联盟]江苏省丹阳市河阳中学2016-2017学年七年级上学期第一次月考数学试卷 题型:单选题

﹣5的绝对值是(  )

A. 5 B. ﹣5 C. D. ﹣

查看答案和解析>>

同步练习册答案