精英家教网 > 初中数学 > 题目详情

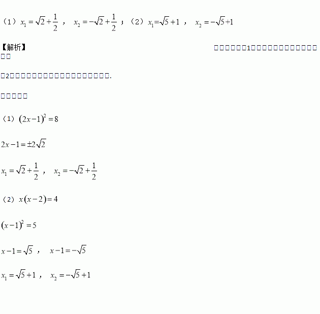
解方程:(1) (2)

练习册系列答案
相关习题

科目:初中数学 来源:2017届上海市奉贤区九年级4月调研测试(二模)数学试卷(解析版) 题型:填空题

如果点P(m-3,1)在反比例函数的图像上,那么m的值是_________ ;

查看答案和解析>>

科目:初中数学 来源:2016-2017学年浙江省海宁市八年级下学期第一次月考数学试卷(解析版) 题型:解答题

银隆百货大楼服装柜在销售中发现:“COCOTREE”牌童装每件成本60元,现以每件100元销售,平均每天可售出20件.为了迎接“五•一”劳动节,商场决定采取适当的降价措施,以扩大销售量,增加盈利,尽量尽快减少库存.经市场调查发现:如果每件童装降价1元,那么平均每天就可多销售2件.要想平均每天销售这种童装盈利1200元,请你帮商场算一算,每件童装应定价多少元?

查看答案和解析>>

科目:初中数学 来源:2016-2017学年浙江省海宁市八年级下学期第一次月考数学试卷(解析版) 题型:单选题

平行四边形ABCD中,E,F是对角线BD上的两点, 如果添加一个条件使△ABE≌△CDF,则添加的条件不能是(  )

A. AE=CF B. BE=FD C. BF=DE D. ∠1=∠2

查看答案和解析>>

科目:初中数学 来源:2016-2017学年浙江省海宁市八年级下学期第一次月考数学试卷(解析版) 题型:单选题

要使式子有意义,则x的取值范围是(  )

A. x>0 B. x≥﹣2 C. x≥2 D. x≤2

查看答案和解析>>

科目:初中数学 来源:2016-2017学年浙江省八年级3月月考数学试卷(解析版) 题型:填空题

化简=_______.

查看答案和解析>>

科目:初中数学 来源:2016-2017学年浙江省八年级3月月考数学试卷(解析版) 题型:单选题

如图,将图甲表示的正方形纸片剪成四块,恰好拼成图乙表示的矩形.若,则 等于( )

A. B. C. D.

查看答案和解析>>

科目:初中数学 来源:2016-2017学年江西省抚州市八年级下学期期中考试数学试卷(解析版) 题型:解答题

如图,两个大小一样的直角三角形重叠在一起,将其中一个三角形沿着点B到点C的方向平移到△DEF的位置,AB=10,DH=4,平移距离为6,求阴影部分的面积.

查看答案和解析>>

科目:初中数学 来源:2016-2017学年江苏省扬州市江都区邵樊片七年级下学期期中考试数学试卷(解析版) 题型:解答题

阅读材料:若m2﹣2mn+2n2﹣8n+16=0,求m、n的值.

【解析】
∵m2﹣2mn+2n2﹣8n+16=0,∴(m2﹣2mn+n2)+(n2﹣8n+16)=0

∴(m﹣n)2+(n﹣4)2=0,∴(m﹣n)2=0,(n﹣4)2=0,∴n=4,m=4.

根据你的观察,探究下面的问题:

(1)a2+b2﹣4a+4=0,则a=  .b=  

(2)已知x2+2y2﹣2xy+6y+9=0,求xy的值.

(3)已知△ABC的三边长a、b、c都是正整数,且满足2a2+b2﹣4a﹣6b+11=0,求△ABC的周长

查看答案和解析>>

同步练习册答案