精英家教网 > 初中数学 > 题目详情

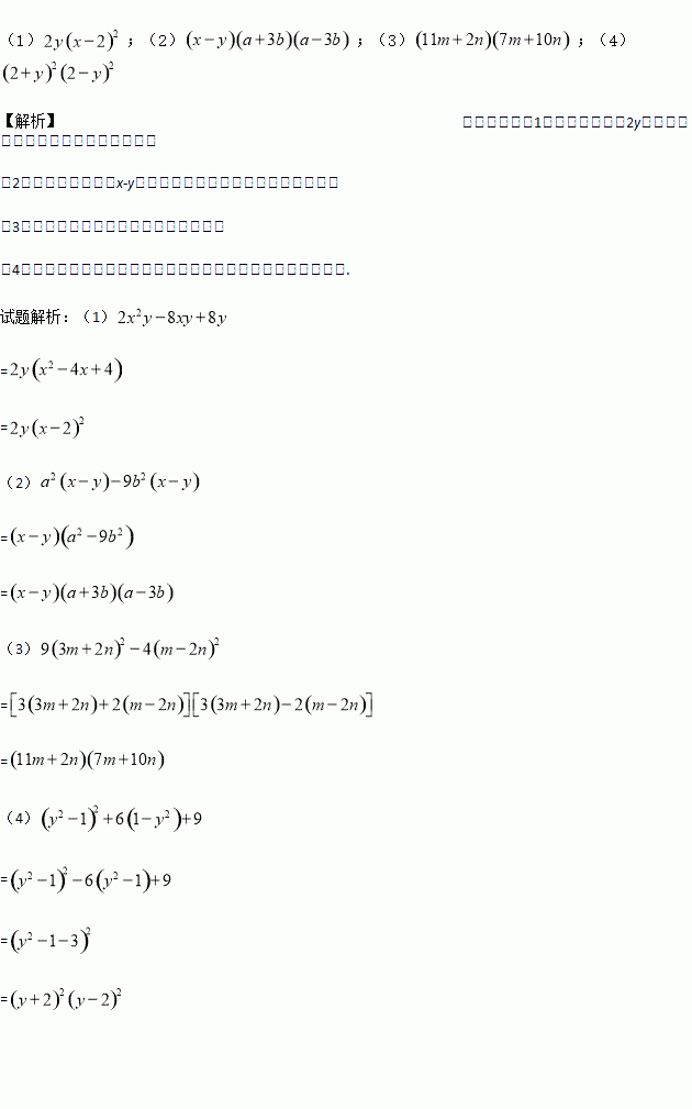
因式分【解析】

(1)

(2)

(3)

(4)

练习册系列答案
相关习题

科目:初中数学 来源: 题型:解答题

17.数轴上,点A表示+4,点B和点C所表示的数互为相反数,且点C到点A的距离为2,求点B和点C各对应的是什么数?

查看答案和解析>>

科目:初中数学 来源:2016-2017学年江苏省八年级下学期第一次月考数学试卷(解析版) 题型:解答题

如图,已知矩形ABCD的周长为20,AB=4,点E在BC上,点F在CD上,且AE⊥EF,AE=EF.求CF的长.

查看答案和解析>>

科目:初中数学 来源:2016-2017学年江苏省八年级下学期第一次月考数学试卷(解析版) 题型:单选题

如图,在方格纸中,线段AB绕某个点旋转一定角度得到线段CD,其中点A 的对应点是点C,则旋转中心是点( )

A. 点E B. 点F C. 点G D. 点H

查看答案和解析>>

科目:初中数学 来源:2016-2017学年吉林省七年级下学期期中复习数学检测试卷(一)(解析版) 题型:解答题

(1)先化简,再求值:2+()( -2)-(,其中=-3, .

(2)已知ab=-3,a+b=2.求下列各式的值:

①a2+b2;

②a3b+2a2b2 +ab3;

③a-b.

查看答案和解析>>

科目:初中数学 来源:2016-2017学年吉林省七年级下学期期中复习数学检测试卷(一)(解析版) 题型:填空题

计算: =___________.

查看答案和解析>>

科目:初中数学 来源:2016-2017学年吉林省七年级下学期期中复习数学检测试卷(一)(解析版) 题型:选择题

(x2+px+8)(x2-3x+q)乘积中不含x2项和x3项,则p,q的值 ( )

A、p=0,q=0 B、p=3,q=1 C、p=–3,–9 D、p=–3,q=1

查看答案和解析>>

科目:初中数学 来源:2016-2017学年江苏省苏州太仓市第二学期初一期中复习检测数学试卷(一)(解析版) 题型:填空题

把面值20元的纸币换成1元和5元的两种纸币,则共有_______________种换法.

查看答案和解析>>

科目:初中数学 来源: 题型:解答题

11.已知关于x的不等式mx2-x+m<0的解是一切实数,求m的取值范围.

查看答案和解析>>

同步练习册答案