精英家教网 > 初中数学 > 题目详情

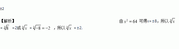
,则=______.

练习册系列答案
相关习题

科目:初中数学 来源:2017届江苏省苏州市高新区九年级下学期第一次模拟考试数学试卷(解析版) 题型:填空题

的绝对值等于____.

查看答案和解析>>

科目:初中数学 来源:2017届湖北省枝江市九校九年级下学期期中联考数学试卷(解析版) 题型:解答题

如图,点A、C、D、B四点共线,且AC=BD,∠A=∠B,∠ADE=∠BCF,求证:DE=CF.

查看答案和解析>>

科目:初中数学 来源:2017届湖北省枝江市九校九年级下学期期中联考数学试卷(解析版) 题型:单选题

4的平方根()

A. 2 B. ﹣2 C. D. ±2

查看答案和解析>>

科目:初中数学 来源:2016-2017学年湖北省枣阳市七年级下学期期中考试数学试卷(解析版) 题型:解答题

在如图所示平面直角坐标系中,已知A(-2,2),B(-3,-2),C(3,-2).

(1)在图中画出△ABC;

(2)将△ABC先向上平移4个单位长,再向右平移2个单位长得到△A1B1C1,写出点A1,B1,C1的坐标;

(3)求△A1B1C1的面积.

查看答案和解析>>

科目:初中数学 来源:2016-2017学年湖北省枣阳市七年级下学期期中考试数学试卷(解析版) 题型:填空题

方程组的解是 .

查看答案和解析>>

科目:初中数学 来源:2016-2017学年湖北省枣阳市七年级下学期期中考试数学试卷(解析版) 题型:单选题

下列各数中,界于6和7之间的数是( )

A. B. C. D.

查看答案和解析>>

科目:初中数学 来源:2016-2017学年广东省广州市四校七年级下学期期中联考数学试卷(解析版) 题型:填空题

如图所示,在平面直角坐标系中,点A(4,0),B(3,4),C(0,2),则四边形ABCD的面积S=__.

查看答案和解析>>

科目:初中数学 来源:2017届辽宁省盘锦市九年级第六次月考数学试卷(解析版) 题型:解答题

如图,抛物线与x轴交于A、B两点,与y轴交于点C,且OA=2,OC=3.

(1)求抛物线的解析式;

(2)作Rt△OBC的高OD,延长OD与抛物线在第一象限内交于点E,求点E的坐标;

(3)①在x轴上方的抛物线上,是否存在一点P,使四边形OBEP是平行四边形?若存在,求出点P的坐标;若不存在,请说明理由;

②在抛物线的对称轴上,是否存在上点Q,使得△BEQ的周长最小?若存在,求出点Q的坐标;若不存在,请说明理由.

查看答案和解析>>

同步练习册答案