精英家教网 > 初中数学 > 题目详情

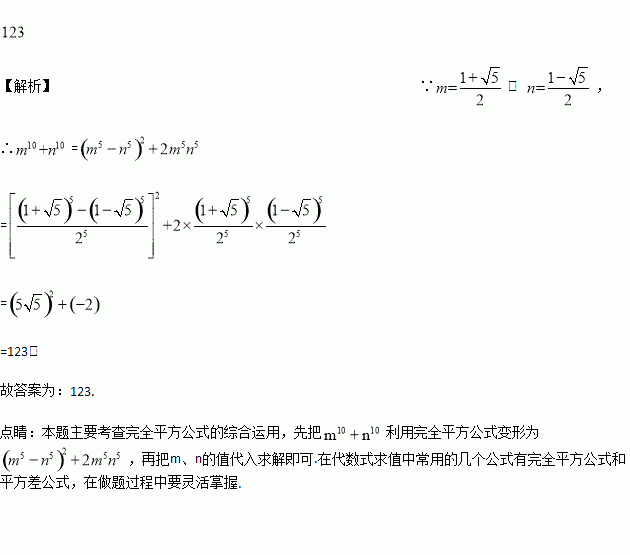
,则__________.

练习册系列答案
相关习题

科目:初中数学 来源:浙江省杭州市拱墅区、滨江区、下城区2017年中考一模数学试卷及答案(word版) 题型:填空题

不等式组的最大整数解为________.

查看答案和解析>>

科目:初中数学 来源:[首发]山东省2017届九年级学业水平模拟测试数学试卷 题型:解答题

A、B两地的距离是80千米,一辆公共汽车从A地驶出3小时后,一辆小汽车也从A地出发,它的速度是公共汽车的3倍,已知小汽车比公共汽车迟20分钟到达B地,求两车的速度.

查看答案和解析>>

科目:初中数学 来源:[首发]山东省2017届九年级学业水平模拟测试数学试卷 题型:单选题

函数自变量x的取值范围是( )

A. 全体实数 B. x>0 C. x≥0且x≠1 D. x>1

查看答案和解析>>

科目:初中数学 来源:福建省龙岩市2017年九年级学业(升学)质量检查数学试卷(word版) 题型:解答题

当下共享单车在各大城市相当火热,给人们的短距离出行带来了许多便利.某市准备在2017年分四期投放若干辆“飞歌同程”和“摩拜单车”两种品牌的共享单车.决策人员根据计划绘制了如图所示的两幅统计图.

(1)第四期投放占总量的百分比是

(2)计算该市四期共投放多少辆共享单车;

(3)补全四期投放共享单车折线统计图.

查看答案和解析>>

科目:初中数学 来源:福建省龙岩市2017年九年级学业(升学)质量检查数学试卷(word版) 题型:填空题

计算: _______.

查看答案和解析>>

科目:初中数学 来源:福建省龙岩市2017年九年级学业(升学)质量检查数学试卷(word版) 题型:单选题

下列四个几何体中,主视图与俯视图相同的是( )

A. B. C. D.

查看答案和解析>>

科目:初中数学 来源:江苏省2017年中考二模数学试卷 题型:填空题

无论m取什么实数,点A(m+1,2m﹣2)都在直线l上.若点B(a,b)是直线l上的动点,(2a﹣b﹣5)2017的值等于__.

查看答案和解析>>

科目:初中数学 来源:四川省青神县2017届九年级教学质量监测数学试卷 题型:解答题

为了切实关注、关爱贫困家庭学生,某校对全校各班贫困家庭学生的人数情况进行了统计,以便国家精准扶贫政策有效落实.统计发现班上贫困家庭学生人数分别有2名、3名、4名、5名、6名,共五种情况.并将其制成了如下两幅不完整的统计图:

(1)求该校一共有多少个班?并将条形图补充完整;

(2)某爱心人士决定从2名贫困家庭学生的这些班级中,任选两名进行帮扶,请用列表法或树状图的方法,求出被选中的两名学生来自同一班级的概率.

查看答案和解析>>

同步练习册答案