精英家教网 > 初中数学 > 题目详情

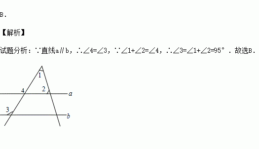
如图,直线a∥b,若∠1=40°,∠2=55°,则∠3等于( )

A.85° B.95° C.105° D.115°

练习册系列答案
相关习题

科目:初中数学 来源:2015-2016学年河南省周口市商水县八年级(下)期末数学试卷(解析版) 题型:解答题

甲、乙两种水稻试验田连续5年的平均单位面积产量如下:(单位:吨/公顷)

品种

第1年

第2年

第3年

第4年

第5 年

9.8

9.9

10.1

10

10.2

9.4

10.3

10.8

9.7

9.8

(1)哪种水稻的平均单位面积产量比较高?

(2)哪种水稻的产量比较稳定.

查看答案和解析>>

科目:初中数学 来源:2014-2015学年重庆育才成功学校中考三诊数学试卷(解析版) 题型:选择题

如图,直线a、b被直线c所截,若a∥b,∠1=50°,∠2=65°,则∠3的度数为( )

A.110° B.115° C.120° D.130°

查看答案和解析>>

科目:初中数学 来源:2016年初中毕业升学考试(贵州黔东南州卷)数学(解析版) 题型:填空题

如图,在△ACB中,∠BAC=50°,AC=2,AB=3,现将△ACB绕点A逆时针旋转50°得到△AC1B1,则阴影部分的面积为

查看答案和解析>>

科目:初中数学 来源:2016年初中毕业升学考试(贵州黔东南州卷)数学(解析版) 题型:选择题

不等式组的整数解有三个,则a的取值范围是( )

A.﹣1≤a<0 B.﹣1<a≤0 C.﹣1≤a≤0 D.﹣1<a<0

查看答案和解析>>

科目:初中数学 来源:2016年初中毕业升学考试(贵州六盘水卷)数学(解析版) 题型:判断题

据调查,超速行驶是引发交通事故的主要原因之一,所以规定以下情境中的速度不得超过15m/s,在一条笔直公路BD的上方A处有一探测仪,如平面几何图,AD=24m,∠D=90°,第一次探测到一辆轿车从B点匀速向D点行驶,测得∠ABD=31°,2秒后到达C点,测得∠ACD=50°(tan31°≈0.6,tan50°≈1.2,结果精确到1m)

(1)求B,C的距离.

(2)通过计算,判断此轿车是否超速.

查看答案和解析>>

科目:初中数学 来源:2016年初中毕业升学考试(贵州六盘水卷)数学(解析版) 题型:填空题

如图,在菱形ABCD中,对角线AC=6,BD=10,则菱形ABCD的面积为

查看答案和解析>>

科目:初中数学 来源:2016年初中毕业升学考试(贵州贵阳卷)数学(解析版) 题型:解答题

(1)阅读理【解析】

如图①,在△ABC中,若AB=10,AC=6,求BC边上的中线AD的取值范围.

解决此问题可以用如下方法:延长AD到点E使DE=AD,再连接BE(或将△ACD绕着点D逆时针旋转180°得到△EBD),把AB、AC,2AD集中在△ABE中,利用三角形三边的关系即可判断.

中线AD的取值范围是

(2)问题解决:

如图②,在△ABC中,D是BC边上的中点,DE⊥DF于点D,DE交AB于点E,DF交AC于点F,连接EF,求证:BE+CF>EF;

(3)问题拓展:

如图③,在四边形ABCD中,∠B+∠D=180°,CB=CD,∠BCD=140°,以为顶点作一个70°角,角的两边分别交AB,AD于E、F两点,连接EF,探索线段BE,DF,EF之间的数量关系,并加以证明.

查看答案和解析>>

科目:初中数学 来源:2016年初中毕业升学考试(贵州安顺卷)数学(解析版) 题型:选择题

如图,在网格中,小正方形的边长均为1,点A,B,C都在格点上,则∠ABC的正切值是( )

A.2 B. C. D.

查看答案和解析>>

同步练习册答案